Запаси критичних і стратегічних копалин в Україні – верифікували
Державна служба геології та надр України повідомляє, що в межах виконання Плану Ukraine Facility на 2024–2027 роки було актуалізовано запаси критично важливих мінералів, за підсумками підготовлено й опубліковано звіт.
На Державному геологічному порталі Державна служба геології та надр України опублікувала Звіт про верифікацію запасів стратегічних і критичних корисних копалин з урахуванням міжнародних систем класифікації, а саме Рамкової класифікації ресурсів Організації Об’єднаних Націй (РКООН).
«Верифікація запасів критичних і стратегічних корисних копалин за міжнародною системою посприяє Україні інтегруватися в глобальну систему управління мінеральними ресурсами. Це не лише підвищує прозорість і достовірність даних, а й робить нашу країну більш привабливою для інвестицій та посилює її роль у забезпеченні сировинної безпеки Європи», – наголосив Голова Держгеонадр Олег Гоцинець.
Україна є державою з унікальною мінерально-сировинною базою, багатство надр якої зумовлене особливостями геологічної будови її території. Вона є одним із провідних світових виробників низки корисних копалин, зокрема таких важливих ресурсів, як марганець, титан і графіт.
Читайте також: Опубліковано переліки стратегічних і критичних копалин та родовищ
Державна комісія України по запасах корисних копалин на завдання Держгеонадр провела перевірку й переоцінку запасів критичних і стратегічних матеріалів та сировини за допомогою міжнародної системи РКООН і підготувала звіт. В документі охарактеризована ресурсна база незаліцензованих родовищ і ділянок надр з покладами алюмінію, бариту, ванадію, германію, графіту, заліза, золота, калійних солей, літію, магнієвих солей, марганцю, нікелю, руд рідкіснометалевих і рідкісноземельних металів, срібла, стронцію, танталу, ніобію, титану, циркону.
Класифікація спрямована на задоволення потреб у різних сировинних секторах і сферах застосування, а також приведена в повну відповідність до принципів сталого управління ресурсами. РКООН – це універсальна система світового рівня, в якій ресурси та запаси класифікують на основі трьох фундаментальних критеріїв:
E – характеризує ступінь сприятливості екологічних, соціальних та економічних умов для забезпечення життєздатності проєкту, включаючи ринкові ціни, юридичні, нормативні, природоохоронні й договірні аспекти;
F – технічної (технологічної) обґрунтованості проєкту освоєння ресурсу (запасів та ресурсів), що визначає ступінь опрацювання технологій, досліджень і зобов’язань, необхідних для реалізації проєкту;
G – позначає ступінь достовірності оцінки обсягу продукції, що буде отримана внаслідок реалізації проєкту.
Нижче передруковуємо дані, оприлюднені на Державному геологічному порталі, як є.
Див. також Вступ до Звіту, Методику проведення верифікації, Перелік скорочень.
Алюміній
Основною сировиною для виробництва алюмінію є боксити з вмістом глинозему 48–60 %. Україна не має власної високоякісної сировини для цього, хоча в її надрах є значні ресурси алюміній-глиноземної сировини: родовища низькосортних бокситів (Високопільське, Південно-Нікопольське та Смілянське), нефелінових сієнітів Приазов’я, алунітів в Закарпатті (Біганське барит-поліметалічне родовище та Берегівське родовище алунітових руд). Станом на 01.01.2024 р. в Держбалансі враховуються запаси бокситів Високопільського родовища, яке на даний час не розробляється (джерело).

Барит
Барит є корисною копалиною багатогалузевого призначення. Промислове використання бариту визначається його фізико-хімічними властивостями: великою щільністю, хімічною інертністю, поглинаючими бета-випромінювання
властивостями, білизною, токсичністю барієвих сполук та іншими. В основному барит є обважнювачем, інертним і напівактивним наповнювачем та вихідною хімічною сировиною для виробництва барієвих сполук.
Мелений барит використовується в нафтогазовій, лакофарбовій, гумовій, паперовій, скляній, хімічній, будівельній та інших видах промисловості. Кусковий барит використовується в хімічній промисловості, сільському господарстві, шкіряній, керамічній, цукровій, медичній промисловості та ін..
Залежно від сфери споживання бариту змінюються і вимоги до якості сировини. Державний стандарт (ДСТУ 4682-74 “Концентрат баритовий”) регламентує 6 марок концентрату, який використовується у нафтогазовій та інших галузях. На території України поклади баритових руд відомі в Закарпатській міжгірській западині та в зоні сполучення Донецької складчастої споруди з Українським щитом.
В Закарпатській міжгірській западині баритові руди зустрічаються в межах Берегівського рудного району. У 1964 р. виробничим об’єднанням “Північукргеологія” розвідано комплексне Біганське родовище сульфіднобаритових руд у Травневій рудній зоні. Потреба України в бариті поки що задовольняється тільки за рахунок імпорту.
Станом на 01.01.2024 р. в Держбалансі враховуються запаси сульфіднобаритових руд Біганського родовища, яке на даний час не розробляється (джерело).

Ванадій
Видобуток ванадійвмісної сировини, який сягає 42–45 тис. т, здійснюється в ПАР, Росії, Китаї, Австралії та США. В ПАР найбільшим рудником із видобутку ванадійвмісних руд є Мапочс, потужність якого за рудою складає 3,5 млн т/рік. У США видобуток ванадійвмісних руд проводиться в невеликих масштабах у двох районах: Плато Колорадо (уран, ванадій) і Сода-Спрінг (ванадієносні фосфорити). У Китаї ванадійвмісні руди видобувають відкритим способом на титаномагнетитовому родовищі Панчжихуа. В Австралії введено в експлуатацію родовище Віндімурра, яке розробляється відкритим способом (кар’єром).
Основна галузь застосування ванадію – чорна і кольорова металургія, а також хімічна, поліграфічна та інші галузі промисловості. Виділяються три промислові типи родовищ ванадію: магматичний, метасоматичний та осадовий.
Найбільш крупні родовища ванадієвих руд належать до магматичного типу.
Основна маса ванадію видобувається під час переробки титаномагнетитових, магнетитових та ільменітових руд.
В Україні видобуток ванадію не проводиться, хоча родовища з промисловим вмістом V2O5 відомі і існує технологія його вилучення. Він може видобуватися як супутній елемент під час розробки таких родовищ: корінних магматичних апатитільменіт-титиномагнетитових руд, алювіальних і прибережно-морських розсипів циркон-рутил-ільменітового складу; уран-ванадій-скандієвих метасоматитів; інших нетрадиційних джерел.
Державним балансом враховані запаси супутнього ванадію в 4 комплексних родовищах: Стремигородському, Торчинському, Злобицькому, Малишівському. Розроблена технологія супутнього вилучення ванадію з ільменітових концентратів. Запаси ванадію враховані також на комплексному уран-ванадій-скандієвому Жовторіченському родовищі. Підвищений вміст ванадію встановлений в бурих залізних рудах Керченського півострова. Магматичні родовища. Як і в усьому світі, головні ресурси ванадію України пов’язані з титаномагнетитовими рудами. Вони складають комплексні фосфор-титанові родовища, приурочені до Володарськ-Волинського габроанортозитового масиву Коростенського плутону: Стремигородське, Торчинське та Злобицьке. Середній вміст V2O5 у рудах цих родовищ становить 0,22–0,25 %.
Ці родовища були розвідані у 1950–1960 рр. і є крупними за запасами титану, проте запаси ванадію практично не оцінювались через недостатні дослідження технології його вилучення.
Розсипні прояви ванадію представлені комплексними алювіальними й узбережно-морськими циркон-ільменітовими та ільменітовими розсипами, відомими у кайнозойському осадовому чохлі північного та південного схилів УЩ: Малишевське, Іршанське, Валки-Гацківське. Носіями ванадію є ільменіт (V2O5 – 0,03–0,52 %), титаномагнетит (до 1 %) і рутил (до 0,4 %). Технологію вилучення ванадію з цих концентратів було розроблено ще у 1971 р., але її так і не реалізували у промислових масштабах в Україні. Водночас Усть-Каменогорський титано-магнієвий комбінат (Казахстан) здійснював супутнє вилучення ванадію з ільменітових концентратів Малишевського родовища. Уран-ванадій-скандієві метасоматити представлені Жовторіченським та іншими урановими родовищами. Уран-ванадій-скандієві руди локалізовані в карбонатно-лужних метасоматичних зонах ранньопротерозойського віку. Запаси U, V, Sc у рудах Жовторіченського родовища при середньому вмісті V2O5 – 0,21 %, ТR – 0,5 %, Sс – 100 г/т, відповідають середньому за масштабами родовищу ванадію.
Жовторіченське родовище є унікальним за запасами скандію. Особливий інтерес становлять карбонатні метасоматити. Родовище належить до класу метаморфогенних (гідротермально-метасоматичних).
Осадові родовища ванадію представлені керченськими неогеновими бурими залізними рудами, що містять підвищену кількість ванадію (в оолітових рудах – 0,05–0,1 %, коричневих – 0,03–0,1 %, табачні – 0,03–0,1 %) (КамишБурунське, Ельтиген-Ортельське, Новоселівське та ін.). Велика частина ванадію тут, ймовірно, міститься в гідроксидах заліза і марганцю типу монтрозеїту. Загальні ресурси V в залізних рудах Керченського півострова оцінюються в 1 млн т.
Крім описаних, потенційний інтерес, як джерело ванадію, становлять:
- ванадійвмісні кварц-слюдяні сланці Кривбасу;
- вуглецеві сланці Донбасу та менілітові – Карпат;
- карбонатно-лужні, гематитизовані, сульфідизовані метасоматити;
- ураноносні альбітити;
- залізо-кременисті та скарнові залізні руди;
- фосфорити Донбасу;
- боксити Наддніпрянщини;
- кори вивітрювання докембрійських базит-ультрабазитових і лужних комплексів УЩ;
- кори вивітрювання залізорудних районів;
- вугілля Львівсько-Волинського та Дніпропетровського вугільних басейнів.
Значні концентрації ванадію містяться в техногенній сировині:
- зола, шлак, шлам, пил ТЕС, ТЕЦ, ДРЕС (V2O5 до 15–25 %);
- тверді й рідкі відходи нафтопереробних заводів;
- відходи титанового виробництва (V2O5 – 0,1–2 %);
- промислові розчини і “червоні шлами” глиноземних заводів;
- шлаки металургійних заводів;
- шахтні води вугільних, залізорудних та інших родовищ.
Таким чином, в Україні є певний потенціал організації власного видобутку ванадію, як супутнього елементу ряду комплексних родовищ чи відходів виробництва титанової сировини, бокситів, шлаків і золи теплових електростанцій.
Державним балансом запасів корисних копалин України обліковуються запаси ванадію по 13 комплексних родовищах, із яких дев’ять розташовані в Житомирській, три – у Дніпропетровській та одне – у Київській областях. Розробляються шість родовищ.
Облік запасів ванадію ведеться відповідно книги 12 “Руди ванадію” (джерело).
Германій
Україна має досить великі загальні ресурси германію як супутнього компонента у вугіллі Донбасу та Львівсько-Волинського басейну, а також у докембрійських залізних рудах і рудах поліметалічних та золотополіметалічних родовищ.
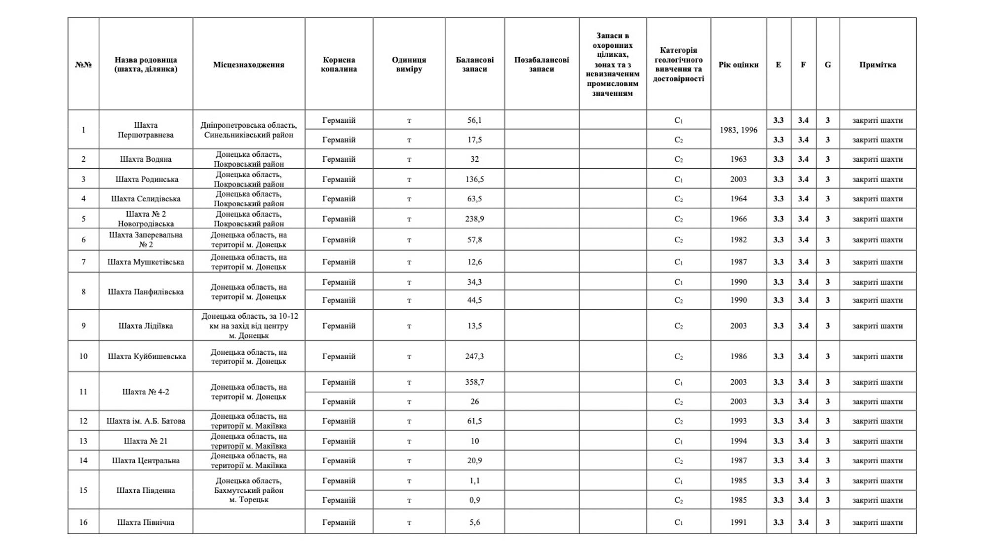
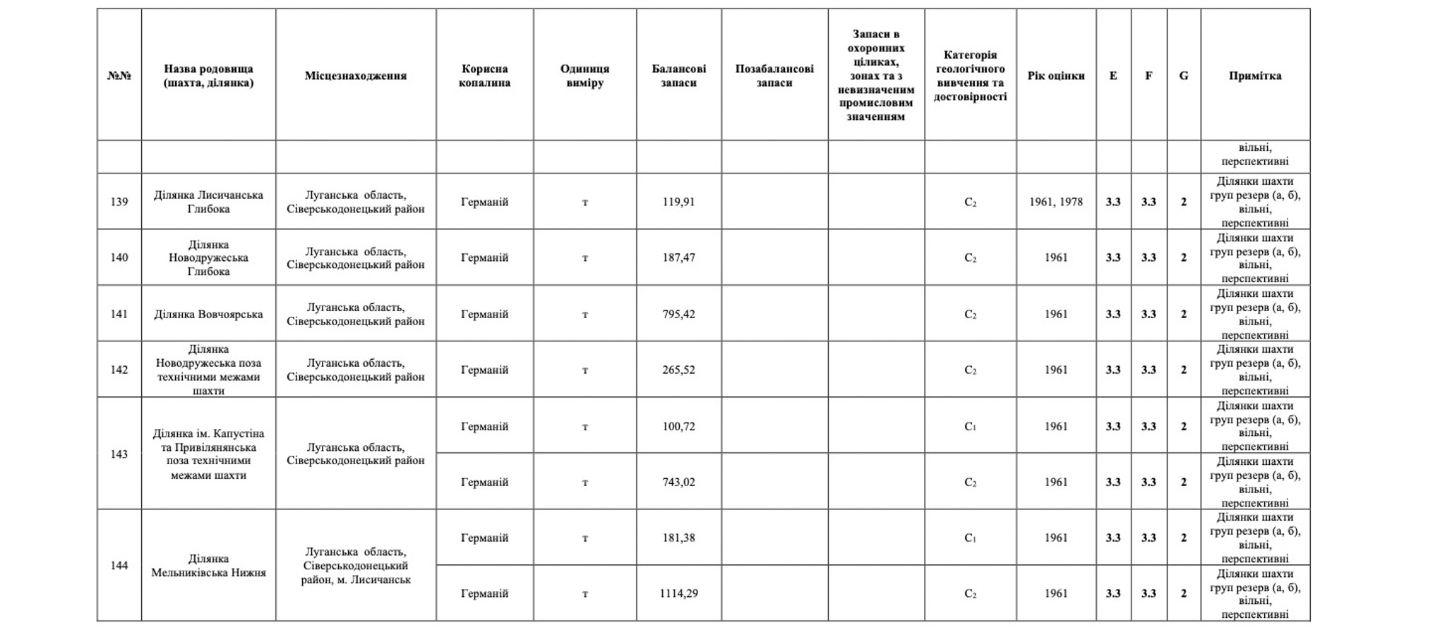
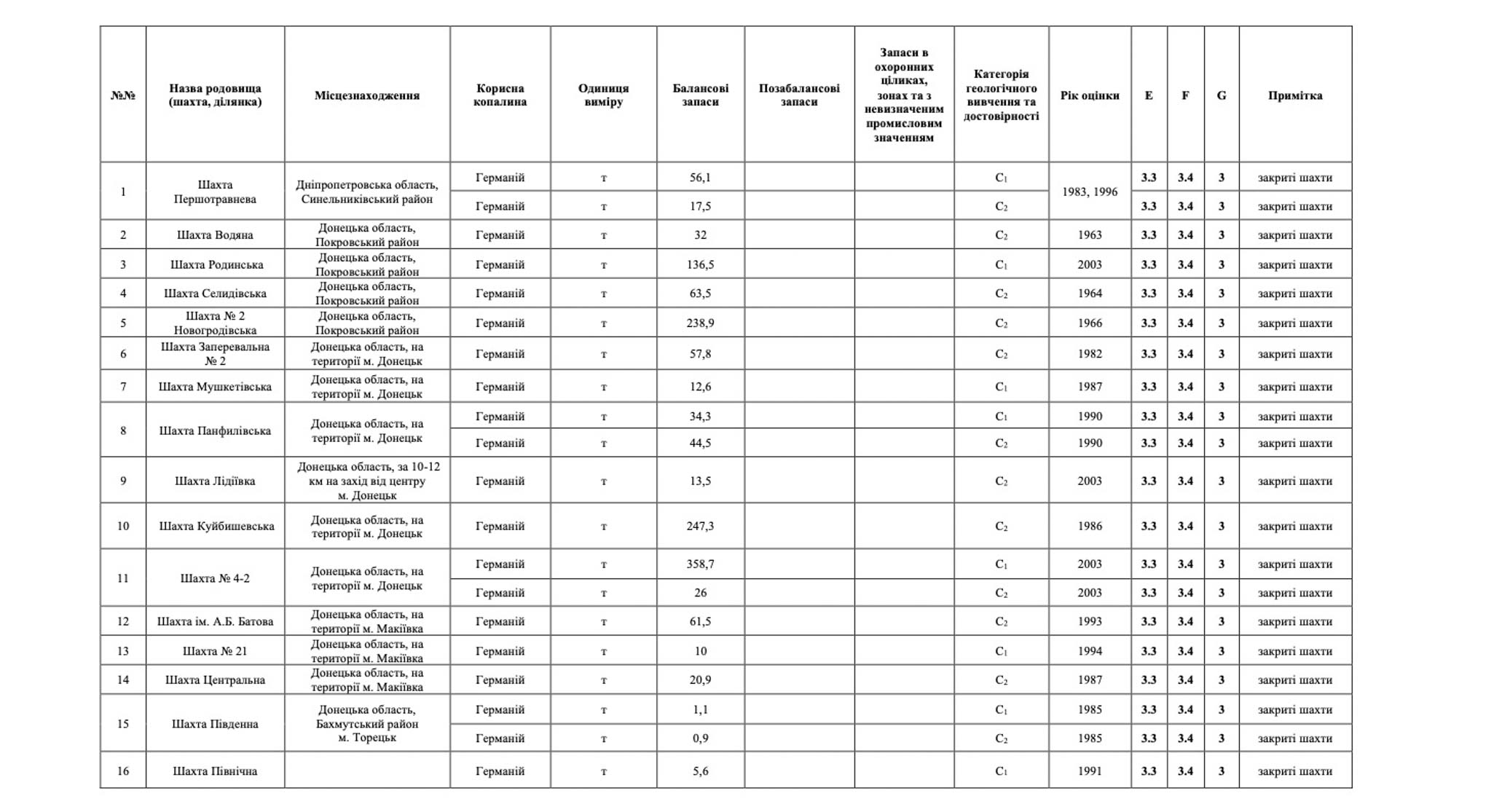
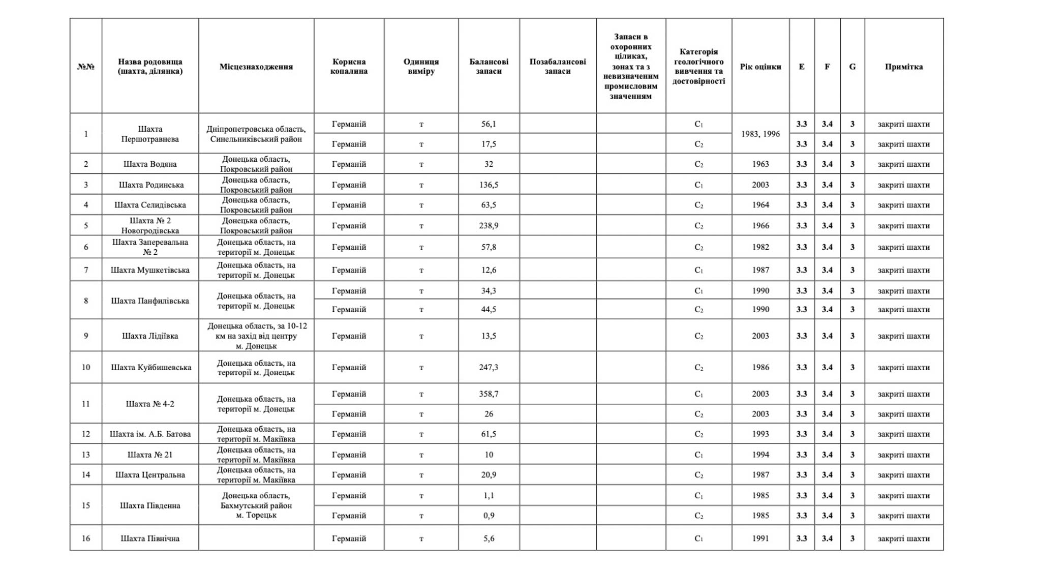
В Україні з 1992 р. не здійснюється промислове вилучення германію на коксохімічних заводах і теплових електростанціях, які використовують коксівне та енергетичне вугілля, через застарілість обладнання, яке було демонтовано.
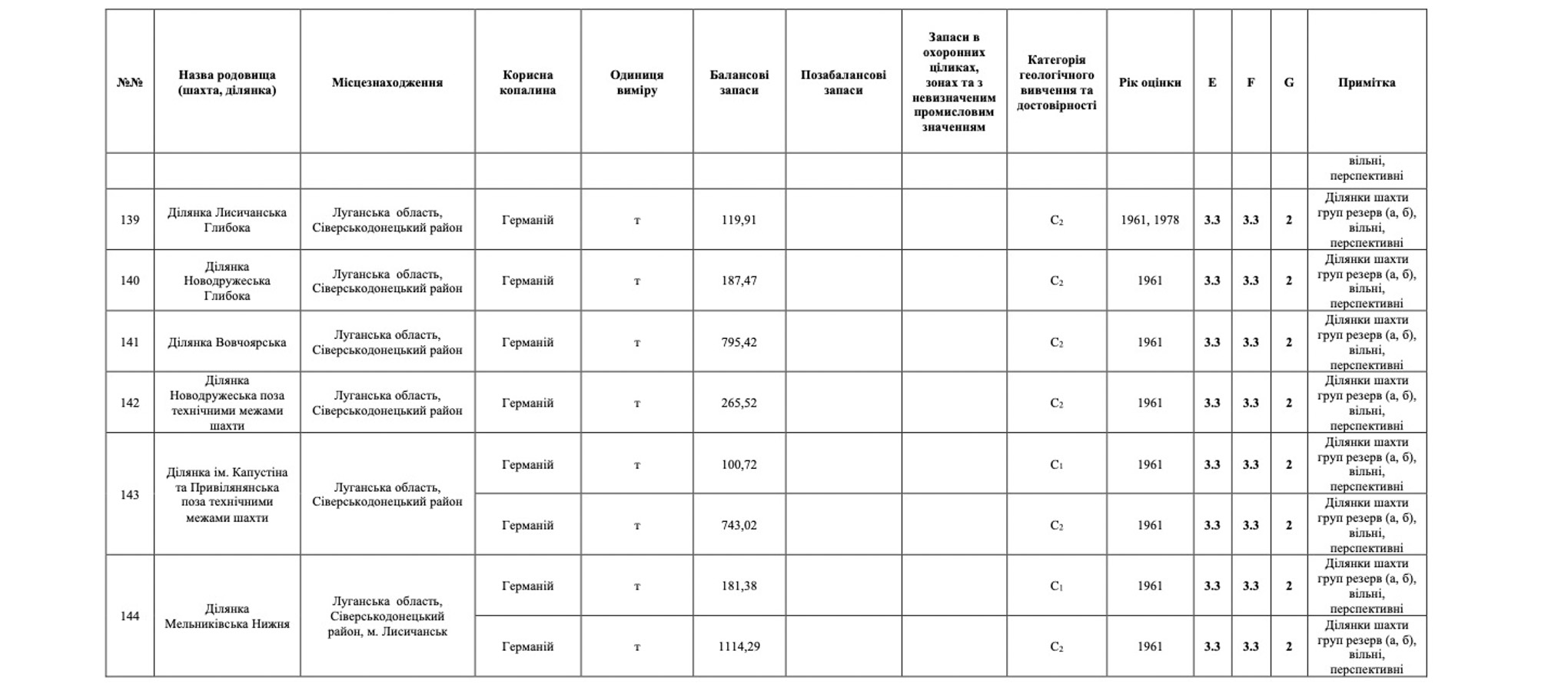
Найкраще вивчене германієносне вугілля Донецького басейну, де запаси германію підраховані до глибини 1500–1800 м. Середній вміст германію у вугіллі, що коксується, дорівнює 3,8–6,8 г/т. Германій присутній у всіх шарах вугілля нижнього, середнього та верхнього карбону, однак найбільш германієносним є вугілля середнього карбону. Відзначається збагаченність германієм малопотужних шарів, підошви та покрівлі шарів, вугілля континентальних фацій, зон сингенетичних розмивів і низькометаморфізованого вугілля.
Розподіл германію залежить від технологічних марок вугілля. В районах розвитку марок НПА, А (напівантрацит, антрацит) вміст Ge не перевищує 2–5 г/т золи. В районах розповсюдження вугілля середніх і низьких стадій метаморфізму Д, Г, К, Ж (довгополум’яні, газові, коксові, жирні) вміст германію сягає 50–70 г/т золи і більше. Поряд з германієм у вугіллі Донбасу знаходиться ряд інших елементів (в г/т золи): галій – 20–100, літій 50–400, берилій – 20–50. В бурому вугіллі Дніпровського вугільного басейну вміст Ge відносно низький (1–2 г/т золи).
В Закарпатському буровугільному районі основна маса дрібних родовищ приурочена до осадових відкладів ільницької світи Чоп-Мукачівської та Солотвинської западин. Буре вугілля – типові лігніти, які повністю складаються з деревини та слабко вуглефікованих залишків. Вміст германію в лігнітах Новоселицького родовища до 280 г/т, Малобіганського – до 1000 г/т. На Малобіганському родовищі підраховані запаси германію за бортовим вмістом 4,9 г/т, що становлять 672 т. Родовище заслуговує на технологічне вивчення сировини через можливості підземного вилуговування германію.
Германій міститься в залізистих кварцитах всіх стратиграфічних горизонтів. Найбільший вміст відзначається в силікатно-магнетитових та магнетитових кварцитах саксаганської світи (4–8 г/т). В окиснених різновидах залізистих кварцитів і руд вміст германію завжди менший.
Крім вугільних та залізорудних родовищ, германій відзначається в невеликих кількостях на свинцево-цинкових родовищах і рудопроявах України. В межах Нагольного кряжу підвищена концентрація германію зафіксована в піриті, халькопіриті, арсенопіриті, галеніті, сфалериті в кількостях 1–10 г/т; в рудах золото-поліметалічного Мужієвського родовища в Закарпатті в окремих пробах вміст германію сягає 5 г/т. Відповідно до листа № 20/8 Держкомгеології України від 23.02.94 усі розвідані родовища за ступенем промислового освоєння підрозділяються на такі групи:
- Діючі та підготовлені до освоєння ділянки:
- діючі шахти;
- шахти, що будуються;
- резерв групи «а» (запаси діючих шахт, резервних ділянок для нового
шахтного будівництва); - резерв групи «б» (для продовження терміну служби діючих шахт);
- Ділянки, що розвідуються.
- Перспективні для розвідки ділянки.
- Вільні ділянки поблизу діючих шахт.
- Закриті шахти.
Державним балансом запасів корисних копалин України обліковано 208 (69 розробляються) об’єктів з запасами германію в кам’яному вугіллі Донецького та Львівсько-Волинського басейнів по діючих шахтах і шахтах, що будуються, та резервних ділянках для будівництва і реконструкції шахт, а також ділянках перспективних для розвідки, вільних ділянках поблизу діючих шахт та закритих шахтах. На родовищах, де була проведена державна експертиза, германій класифікувався як супутній корисний компонент з невизначеним промисловим значенням (код класу 332). Враховуючи вище зазначене, рекомендується германій, як супутній корисний компонент, присутній у вугіллі кам’яновугільних родовищ Донецького та ЛьвівськоВолинського басейнів, класифікувати за кодом класу E(3.3); F(3.3); G(2).
З врахуванням кількості та геолог-промислової особливості об’єктів обліку запасів германію (супутнього корисного компоненту), верифікація родовищ (ділянок надр) германію проведена окремою книгою (джерело).
Графіт
На території України родовища кристалічного графіту виявлені в межах Українського щита, де утворюють так звану Українську графітоносну провінцію, до якої входять чотири графітоносних регіони: Бердичівський (прояви й родовища пов’язані з тетерівською серією нижнього протерозою), Побузький (з бузькою серією архею), Криворізький (з інгуло-інгулецькою та криворізькою серією нижнього протерозою) та Приазовський (з західно- та центрально-приазовською серією архею). Загалом у межах провінції виявлено близько 100 родовищ та проявів графіту.
Глибина залягання графітових руд від поверхні становить від 10 до 80 м.
Графітовміщуючі породи утворюють пластові й лінзоподібні тіла завтовшки від кількох метрів до 300 м. Довжина рудних тіл коливається від 500 до 1500 м, рідко досягаючи 3,5–5 км. Графіт має лускату структуру, його вміст у рудах становить від 2,5 до 12–20 %, рідко досягаючи 30 %. Графіт характеризується низкою виняткових фізичних властивостей: висока тугоплавкість, кислотостійкість, вогнетривкість, електропровідність тощо.
Графітові руди за структурно-текстурними ознаками поділяються на явно- та прихованокристалічні. Явнокристалічні руди поділяються на щільнокристалічний і лускатий різновиди, які мають найбільшу промислову цінність. Лускаті руди з вмістом графіту понад 3 % є промисловими через спрощену технологію збагачення, що полягає в розмелюванні та селективній флотації графіту з одержанням концентратів високої чистоти.
Щільнокристалічний різновид утворює масивні чи вкраплені руди з вмістом 15–90 % графіту. Багаті руди піддають ручній рудорозборці, бідні – збагачують. Серед прихованокристалічного графіту виділяють щільну та тонкодисперсну відміни. Він набуває промислового значення при вмісті його в рудах 80–90 %, оскільки не збагачуються флотаційним методом, а лише розмелюються. Руди графіту контрастні в геоелектричних полях і добре фіксуються методами електророзвідки через дуже низький опір.
Основні сфери застосування природного графіту:
- металургія (виробництво тиглів, ливарних форм, вогнетривких матеріалів, протипригарних фарб);
- нафтогазова галузь;
- електрохімія;
- машинобудування, авіаційна та космічна техніка (гальмівні колодки і
накладки, самозмащувальні механічні частини – підшипники і вкладки); - атомна промисловість (графітові блоки та деталі реакторів);
- виробництво олівців.
У зв’язку із заміною азбесту у виробництві гальмівних накладок різко зросла частка графітного компонента – з 1–2 % до 15 %.
Виробництвом графіту в Україні займаються два підприємства: Заваллівський і Маріупольський комбінати. Вони випускають такі марки графіту: ливарний, елементний, електровугільний, акумуляторний, тигельний, олівцевий, мастильний, спеціальний малозольний, графіт для спецсталі, пороховий і фрикційно-металокерамічний. Найбільша питома вага припадає на виробництво ливарного графіту, менше – тигельного та елементного. Частка решти марок є невеликою.
За якістю графітова продукція переважно відповідає світовому рівню, а за деякими марками перевищує аналогічні вироби, що випускаються у США, Чехії та Австралії. У промисловості немає єдиних вимог до графітових руд. Державні стандарти (ДСТ) діють лише на товарний графіт і графітову продукцію: ДСТ 5279-74 “Графіт кристалічний ливарний”; ДСТ 4596-75 “Графіт тигельний”; ДСТ 7478-75 “Графіт елементний”; ДСТ 10273-79 “Графіт для виготовлення активних лужних акумуляторів”; ДСТ 10274-79 “Графіт для виробництва електродної продукції”; ДСТ 4404-78 “Графіт для виготовлення стрижнів для олівців”; ДСТ 8295-73 “Графіт мастильний” (джерело).
Залізо
На території Українського щита розташована одна з найбільших у світі залізорудних провінцій, у межах якої виділяються Криворізько-Кременчуцька, Білозірсько-Оріхівська, Одесько-Білоцерківська металогенічні зони, Придніпровська і Приазовська металогенічні області. Вони складаються із залізорудних басейнів і районів.
Особливе положення займає Азово-Чорноморська залізорудна провінція. Відомо п’ять основних залізорудних басейнів і районів (ЗРР): Криворізький і Білозірський – багаті гематит-мартитові й магнетитові руди та магнетитові кварцити; Кременчуцький і Приазовський – магнетитові кварцити; Керченський – бурі залізняки.
Криворізький басейн і Кременчуцький район утворюють єдину Криворізько-Кременчуцьку металогенічну зону, а разом з Білозірським ЗРР – Великий Кривий Ріг, на який припадає основний обсяг видобутку і з яким пов’язані найбільші перспективи залізорудної бази України.
Переважна більшість руд (95 %) належать до докембрійських кварцитів і багатих руд. Криворізький басейн і Кременчуцький район утворюють єдину Криворізько-Кременчуцьку зону, а разом із Білозірським районом – Великий Кривий Ріг, на який припадає основний обсяг видобутку залізних руд.
Криворізький ЗРР розташований у західній частині Дніпропетровської області в басейні р. Інгулець та її приток (річок Саксагань і Жовта). Він виражений субмеридіональною смугою залізистих кварцитів протяжністю понад 100 км і шириною 2-7 км. Криворізький басейн є основним гірничодобувним центром України, де розробляється 23 (з 25 розвіданих) родовища залізних руд. Проте за 130 років промислової розробки запаси багатих руд Кривбасу виснажилися, особливо у приповерхневій частині. На більшості діючих кар’єрів досягнуто глибини майже 370 м, щороку вони збільшуються на 10–15 м. Глибина видобутку руд підземним способом досягла 850–1350 м. Кількість руди, яка містить близько 50 % заліза, становить приблизно третину загального видобутку. Інші дві третини товарної руди – концентрати, отримані з бідної руди або магнетитових залізистих кварцитів, що містять близько 30 % заліза. У Криворізькому ЗРР виділено сім рудних полів: Попельнастівське, Жовторіченське, Первомайсько-Ганнівське, Саксаганське, Південнокриворізьке, Лихманівське й Інгулецьке. У їх межах розміщено біля 300 покладів багатих залізних руд, які групуються у 25 родовищ, а також понад 40 родовищ залізистих кварцитів. Загалом у Кривбасі зосереджено 21,8 млрд т розвіданих запасів залізних руд.
Кременчуцький ЗРР розташований на північно-східному схилі Українського щита. Рудовміщуючою є саксаганська світа (1000–1300 м), яка утворює субмеридіональну смугу протяжністю 45 км і шириною 1–3 км. Багаті руди містять 58,5 % Fe, бідні – магнетитовими кварцитами (32,8 % Fe) і кумінгтоніт-магнетитовими кварцитами (27,4 %). Виділяють два рудні поля: північне – Галещинське та південне – Горішнє-Плавнинське. У їх межах розвідано такі родовища залізистих кварцитів: Горішнє-Плавнинське, Лавриківське, Єристівське, Біланівське, а також Галещинське родовище багатих залізних руд. Крім того, розвідано низку родовищ бідних залізних руд Мануїлівське, Харченківське). Розвідані запаси промислових категорій п’яти основних родовищ становлять 4,1 млрд т. На базі двох родовищ (Лавриківського і Горішнє-Плавнинського) працює Полтавський ГЗК із проєктною потужністю 34 млн т руди щорічно.
Правобережний ЗРР займає територію від північного замикання Жовторіченської синкліналі (на півдні) до р. Дніпро (на півночі). Раніше район поділявся на західну і східну частини, зараз східна частина району належить до Криворізького басейну. Правобережний ЗРР складений метаморфізованими вулканогенно-осадовими породами інгуло-інгулецької серії, які зім’яті в синклінальні складки, осі яких часто змінюють своє простягання. Розвідані родовища: Іванівське, Зибківське, Мар’ївське, Краснофедорівське, Артемівське, Західножовтянське та Петрівське. Запаси і ресурси району становлять близько 2 млрд т залізних руд.
Білозерський ЗРР розташований на території Запорізької області, південніше м. Запоріжжя, на південному схилі Українського щита в південній частині Конксько-Білозерської підзони Оріхово-Павлоградської металогенічної зони. Його ширина становить 5–20 км, протяжність – 65 км у субмеридіональному напрямку. За промисловим значенням це один із найкрупніших і найперспективніших залізорудних районів України. Багаті руди вперше виявлено у 1955 р., згодом були відкриті та розвідані: Південно-Білозерське, Північно-Білозерське, Переверзівське родовища, а також кілька перспективних ділянок. Наразі розробляється лише Південно-Білозерське родовище, на базі якого працює Запорізький залізорудний комбінат, що щорічно видобуває близько 3 млн т багатих залізних руд, які не потребують збагачення. За промисловим значенням Білозірський ЗРР є одним з найперспективніших після Криворізького. Запаси багатих руд на глибині до 900–1500 м оцінюються в 460 млн т, а ресурси – в 225 млн т.
Станом на 01.01.2024 р. Державним балансом запасів корисних копалин України враховано 60 родовищ залізних руд, з яких 25 перебувають у стадії розробки, 33 не розробляються, 2 перебувають у стадії розвідки (джерело).
Золото
Золото є найбільш типовим благородним металом. Воно завжди було і залишається універсальним мірилом цінності та засобом накопичення багатств. Останній час поряд із традиційним використанням золота (валютні резерви, ювелірні та медичні вироби) зростає його застосування у високих наукоємних технологіях. На теперішній час необхідність освоєння і розвитку сировинної бази золотих руд в нашій державі набуває особливої важливості і актуальності.
На території України родовища та рудопрояви золота приурочені до трьох структур: Закарпатської внутрішньої западини, Українського щита та Донецької складчастої споруди. В Закарпатті найбільш вивченим є Берегівське рудне поле (Мужіївське, Берегівське та Куклянське золото-поліметалічні родовища) та Рахівський рудний район (родовище золота Сауляк, рудопрояви Банський, Білий Потік, Тукало). В межах Донецької складчастої структури – Нагольному кряжі – родовища і прояви утворюють дві рудоносні зони (північну та південну).
Основні рудні об’єкти в південній зоні із золото-пірит-арсенопіритовою мінералізацією – Бобриківське родовище золото-сульфідних окислених руд та Бобриківське родовище розсипного золота, Гостробугорське золоторудне родовище. В межах Українського щита виявлені родовища золото-кварцевої та золото-сульфідно-кварцевої формацій в тектоно-метасоматичних зонах протерозойської активізації архейських структур (Клинцівське, Юр’ївське, Крута Балка), в зеленокам’яних архейських структурах (Сергіївське, Балка Золота, Південне, Балка Широка).
Комплексний рудноформаційний аналіз золоторудних родовищ і рудопроявів України, дозволяє виділити такі геолого-генетичні типи:
- гідротермально-метасоматичні руди, що пов’язані з архейськими зеленокам’яними структурами – пошуково-оцінювальні роботи і розвідка родовищ золота Сергіївське, Балка Золота, Балка Широка, Сурозьке та перспективних рудопроявів – Південний, Чкаловський та ін.;
- гідротермально-метасоматичні руди, що пов’язані із протерозойськими граніто-гнейсовими комплексами – подальші розвідувальні роботи на родовищах золота Клинцівське, Юріївське, Майське;
- жильні і стратиформні руди протерозой-палеозойських складчастих метатеригенно-вулканогенних товщ – продовження розвідки родовища золота Сауляк і пошукова оцінка перспективних рудопроявів Рахівського рудного району;
- прожилково-вкраплені руди в палеозойських складчастих вуглецевих теригенних товщах – розвідка нижнього структурного ярусу родовища золота Бобриківське, пошуково-оцінювальні роботи на родовищі Гострий Бугор та перспективних рудопроявах – Михайлівському та інших;
- стратиформні руди в палеозойських вуглецевих карбонатних товщах – пошуково-оцінювальні роботи на рудопроявах Докучаївського рудного району;
- жильні і прожилково-вкраплені руди в кайнозойських еффузивноосадових товщах – пошукові та пошуково-оцінювальні роботи на ділянках Берегівського і Вишківського рудних полів, а також на площах і ділянкахРахівського рудного району; розвідка Берегівського родовища, а також південно-східного і північно-східного флангів Мужіївського родовища;
- давні і сучасні золотоносні розсипи, золотоносні прибережно-морські розсипи Чорного і Азовського морів – прогнозні і пошукові роботи на перспективних ділянках..
Державним балансом запасів корисних копалин України враховані запаси золота по 7 родовищах – Мужіївському, Сауляку, Дідловецькій площі (ділянки Білопотікська та Тукало-Ясенівська) (Закарпатська область), Бобриківському (Луганська область), Сергіївському, Балка Золота (Дніпропетровська область) та Клинцівському (Кіровоградська обл.).
Верифікація золоторудних родовищ проведена окремою книгою, що містить інформацію з обмеженим доступом (джерело).

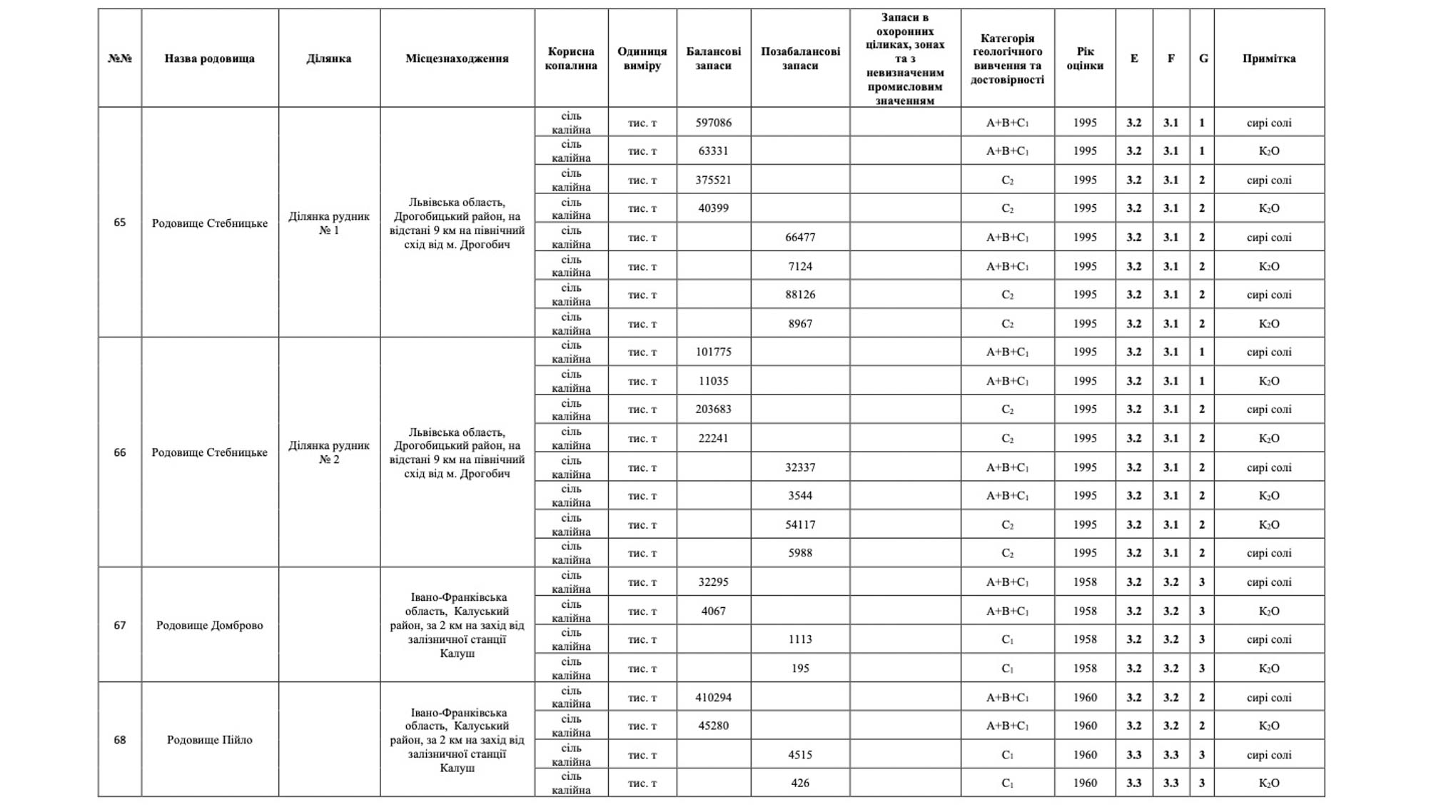
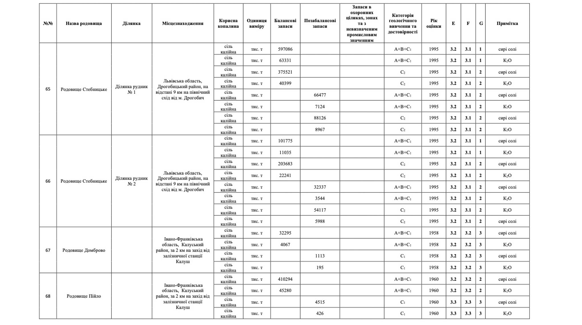
Калійні солі
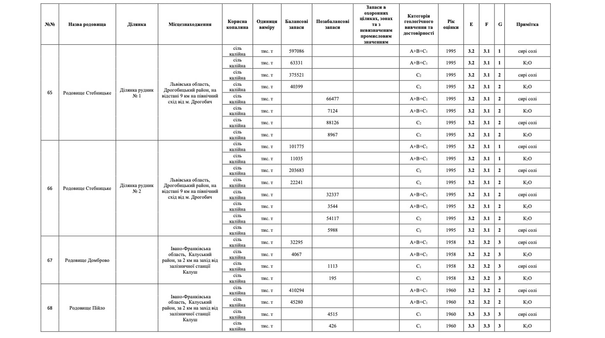
На території України родовища калійних солей виявлені в Передкарпатському крайовому прогині, де вони утворюють Передкарпатський калієносний басейн. Незначні запаси калійних солей також відомі в Дніпровсько-Донецькій западині. Відклади калійних і калійномагнієвих солей Передкарпатського калієносного басейну належать до калуських верств стебницької та воротищенської світ неогену і залягають серед них у вигляді пластоподібних та лінзоподібних покладів потужністю від 3 до 120 м. Значна частина цих запасів зосереджена на глибинах 600–700 м.
Калійні солі розподіляються на хлористі (безсульфатні), представлені сильвінітом та карналітовою породою, і сірчано-кислі (сульфатні), які розповсюджені значно ширше хлористих і представлені набагато складнішими мінеральними сполуками, такими як каїніт, лангбейніт, полігаліт, шеніт тощо. Вміст оксиду калію в них коливається від 9 до 21 %. Крім того, на деяких родовищах виявлені змішані сірчанокисло-хлористі солі у вигляді таких сполук, як кізерит, леоніт, сильвін, галіт тощо.
На даний час розвідані запаси К2О складають близько 411,0 млн т, у тому числі позабалансові – 27,1 млн т. Більша їх частина зосереджена на двох родовищах – Стебницькому із запасами 162,6 млн т та Калуш-Голинському з запасами 49,9 млн т. На базі цих родовищ побудовані два великі збагачувальні комбінати: Стебницьке ДГХП “Полімінерал” із проєктною потужністю 3,0 млн т руди на рік та Калуський (ВАТ “Оріана”) із потужністю 2,2 млн т руди на рік. Однак застаріла технологія переробки видобутої сировини спричинили зменшення видобутку та втрати солі, а згодом і повне припинення виробничої діяльності через інтенсивне забруднення довкілля. За таких умов потреби сільського господарства в калійних добривах не задовольняються.
Більша частина калійних солей, що свого часу видобувалася в Україні, використовувалася для виробництва калійних мінеральних добрив. Калійні солі також можуть застосовуватися у хімічній промисловості для одержання понад десяти видів хімічної продукції, основною складовою яких є калій (сульфат калію, калімагнезія, калійна селітра, їдкий калі-поташ тощо). Внутрішня потреба України становить близько 2,0 млн т К2О на рік. До цього необхідно додати, що всі родовища Прикарпаття (за винятком Стебницького) вивчені незадовільно. Запаси їх затверджені ще в 1948–1960 рр. на основі матеріалів власної розвідки, а частково – ще на довоєнних даних польських геологів (джерело).
Літій
Літій широко застосовується у виготовленні термоелектричних та лазерних матеріалів. З літію виготовляють аноди хімічних джерел струму (акумуляторів, наприклад, літій-хлорних акумуляторів) і гальванічних елементів твердим електролітом.
В металургії літій застосовується як легуюча добавка – пов’язує азот, кремній, вуглець. Сферами використання літію є силікатна, керамічна та скляна промисловості, а також виробництво мастил, синтетичного каучуку і пластмас, кондиціонерів, сільськогосподарських хімікатів, тощо. Основними джерелами промислового видобутку літію є рідкіснометальні гранітні пегматити та літійвміщуюча ропа соляних озер.
Відмінною рисою майже всіх родовищ літію є їх комплексність: з рідкіснометальних пегматитів, крім літію, вилучають тантал, ніобій, рубідій, цезій, олово, берилій, з ропи – калій, натрій, бром, бор, магній. В останні десятиріччя на території України відкриті родовища літієвих руд, які пов’язані з рідкіснометальними пегматитами протерозойського віку.
В Західному Приазов’ї розвідані родовища Крута Балка і Шевченківське, в центральній частині УЩ виявлені та оцінені сподумен-петалітові рудопрояви – Станкуватське, Новостанкуватське, Липнязьке та Надія. В рідкіснометальних пегматитах родовищ, крім літію, встановлені тантал, ніобій, рубідій, цезій, олово, берилій. Відомі також прояви літію в сподуменвміщуючих пегматитах Криворізько-Кременчуцької зони (Жовторіченська і Комендантська ділянки). Потенційним джерелом літію є гідротермальнозмінені граніти Пержанського рудного поля та грейзени Вербинського вісмут-молібденового прояву.
Державним балансом запасів корисних копалин України обліковуються три родовища – Шевченківське родовище сподуменових руд, Полохівське родовище петалітових руд та Ділянка Добра сподумен-петалітових руд. Полохівське родовище готуються до розробки. Нині літій в Україні не видобувається.
Шевченківське родовище (Донецька область) розташоване в північносхідній частині Приазовського блоку Українського щита, в області зімкнення з Дніпровсько-Донецькою западиною. На родовищі виділяють два різновиди руд – сподуменовий (альбіт-мікроклін-сподуменовий) і петалітсподуменовий. Вміст оксиду літію в рудах змінюється в межах 0,3-0,4 % і в середньому складає – 1,22 %.
Державним балансом запасів корисних копалин України обліковуються три родовища – Шевченківське родовище сподуменових руд, Полохівське родовище петалітових руд та Ділянка Добра сподумен-петалітових руд.
Шевченківське та Полохівське родовища готуються до розробки (джерело).

Магнієві солі
Солі магнію не утворюють самостійних родовищ на території України, а видобуваються разом із калійною та кухонною солями. Виявлені вони в двох модифікаціях: у Передкарпатському крайовому прогині у вигляді сирих калійно-магнієвих солей (Калуш-Голинське та Стебницьке родовища) та в ропі озер Криму (Сиваське родовище, озеро Старе).
Родовища магнієвих солей Передкарпатського калієносного басейну приурочені до осадових відкладів міоценового віку, які простягаються вузькою смугою вздовж північного підніжжя Карпат більш ніж на 200 км. Солі всіх родовищ басейну є комплексними і складаються з мінералів кальцію, натрію, магнію та калію. Характерною властивістю родовищ є переважно сульфатний склад калій-магнієвих покладів. У складі покладів переважають галіт, лангбейніт, епсоміт, полігаліт і каїніт. У незначних кількостях містяться карналіт і сильвін. Такий мінеральний склад дозволяє використовувати ці солі без застосування глибокої хімічної переробки для виробництва безхлорних калійних добрив.
На базі Сиваського родовища, яке складається з трьох соляних озер (Східний, Середній та Західний Сиваш), діяв ПАТ “Кримський содовий завод”. Красноперекопське ПАТ “Бром” не використовує ропний магній у магнієвому виробництві через зупинку підприємства. У зв’язку з цим 100 % запасів магнію у ропі відходять у безповоротні втрати після використання ропи у содовому та бромному виробництві.
Калійно-магнієві солі мають широке застосування у багатьох галузях промисловості завдяки своєму багатому хімічному складу. Солі магнію використовуються в хімічній промисловості для отримання калімагнезії “Н’ювель”, окису магнію “ФК”, вуглекислого магнію. Вимоги до товарної продукції регламентуються ГОСТ 7759-55 “Магний хлористый технический”, МРТУ 6-12-5-66 “Калимагнезия”, МРТУ 6-12-4-66 “Концентрат калийномагниевый” (джерело).

Марганець
Марганець застосовується, головним чином, у чорній металургії. Майже 95% використовується для розкиснення і десульфурації сталі й чавуну та на додатки в спеціальні сталі, а також для отримання різноманітних сплавів кольорових металів, створення антикорозійних покрить. У вигляді сплавів із залізом (феромарганець) і кремнієм (силікомарганець) використовується у виробництві рейкової і конструкційної сталей. Широке застосування в промисловості знаходять манганати (сплави марганцю, нікелю, міді, що мають високий електричний опір), а також марганецьвмісні бронзи, сплави для комп’ютерних елементів пам’яті тощо. Значно менше (не більше 5%) марганець застосовується в електротехнічній промисловості для виробництва гальванічних елементів, у виготовленні скла і олив, фарбників, у медицині. Оксиди марганцю, крім того, використовуються як каталізатори й окиснювачі.
Марганцеві руди – це природні мінеральні утворення, що містять марганець у таких сполуках і концентраціях, за яких їх промислове використання є технічно можливим й економічно доцільним. Марганець в рудах присутній у вигляді різноманітних оксидних сполук, карбонатів, силікатів.
Найбільше промислове значення мають оксидні руди, в яких головними рудними мінералами виступають оксиди і гідроксиди марганцю: піролюзит, псиломелан, манганіт, брауніт, гаусманіт, криптомелан, голандит, коронадит, біксбіїт, інсутит, бернесит, тодоркіт та ін. Вони інтенсивно використовуються в промисловості, оскільки мають високий вміст марганцю (25-30%) та легко збагачуються. Концентрати оксидних руд є високоякісною сировиною, що придатна для виготовлення феромарганцю і для хімічної промисловості.
На території України значні запаси марганцевих руд виявлені в північносхідній частині Причорноморської западини, де вони утворюють Нікопольський марганцеворудний басейн. Рудоносні піщано-глинисті породи приурочені до осадових відкладів олігоценового віку, залягають майже горизонтально на поверхні порід кристалічного фундаменту, відокремлюючись від них шаром каолінової кори вивітрювання. Потужність рудного горизонту в Нікопольському басейні змінюється від декількох сантиметрів до 6 метрів, складаючи в середньому 1,5-2,0 м, глибина залягання змінюється від 10 до 140 м, середня – 40-75 м. За мінеральним складом виділяються три промислові типи марганцевих руд: оксидні, карбонатні та оксидно-карбонатні (змішані).
До складу Нікопольського басейну входять Нікопольське, Велико-Токмацьке та Федорівське родовища. Нікопольське родовище марганцевих руд виступом кристалічного фундаменту розділене на дві відокремлені частини – Східну та Західну.
Станом на 01.01.2024 р. Державним балансом запасів корисних копалин на території України враховуються запаси Нікопольського (Східна та Західна частини), Федорівського, Велико-Токмацького родовищ та техногенного родовища “Шламосховище ім. Максимова”.
Сумарні балансові запаси марганцевих руд України станом на 01.01.2024 складають за категоріями геологічного вивчення А+В+C1 – 2155577,1 тис. т, C2 – 197270,9 тис. т.
На сьогодні розробляються 4 шахтних та 7 кар’єрних полів Нікопольського родовища двома гірничо-збагачувальними комбінатами. У Східній частині Нікопольського одовища видобувні роботи проводилися ПАТ Марганецьким ГЗК, в Західній – ПАТ Покровський ГЗК (був. Орджонікідзевський ГЗК).
Перспективи марганцеворудного басейну пов’язуються з промисловим освоєнням малофосфорних руд Федорівського родовища, з яких можна отримувати концентрат, що містить 49% марганцю; удосконаленням технології збагачення карбонатних руд з отриманням високоякісних концентратів; утилізацією шламів збагачення (180 млн т з середнім вмістом марганцю 12-13%) і шлаків феромарганцевого виробництва (20 млн т з 14-19% оксидів марганцю); розвідкою проявів марганцевих і марганцевистих залізних руд Середнього Побужжя в корі вивітрювання кальцифірів.
Перспективи розвитку марганцеворудної промисловості України пов’язані з проявами залізомарганцевих руд у Середньому Побужжі (ЗахідноХащеватське, Соломіївське й ін.); осадових карбонатних і оксидних гіпергенних марганцевих і залізо-марганцевих руд міоцену ВолиноПодільської плити (Бурштинське) і Карпатської складчастої системи; осадових кіммерійських марганцево-залізних руд Керченського басейну; залізо-марганцевих конкрецій і кір четвертинного віку на дні акваторії Чорного моря; розробкою техногенних родовищ (джерело).
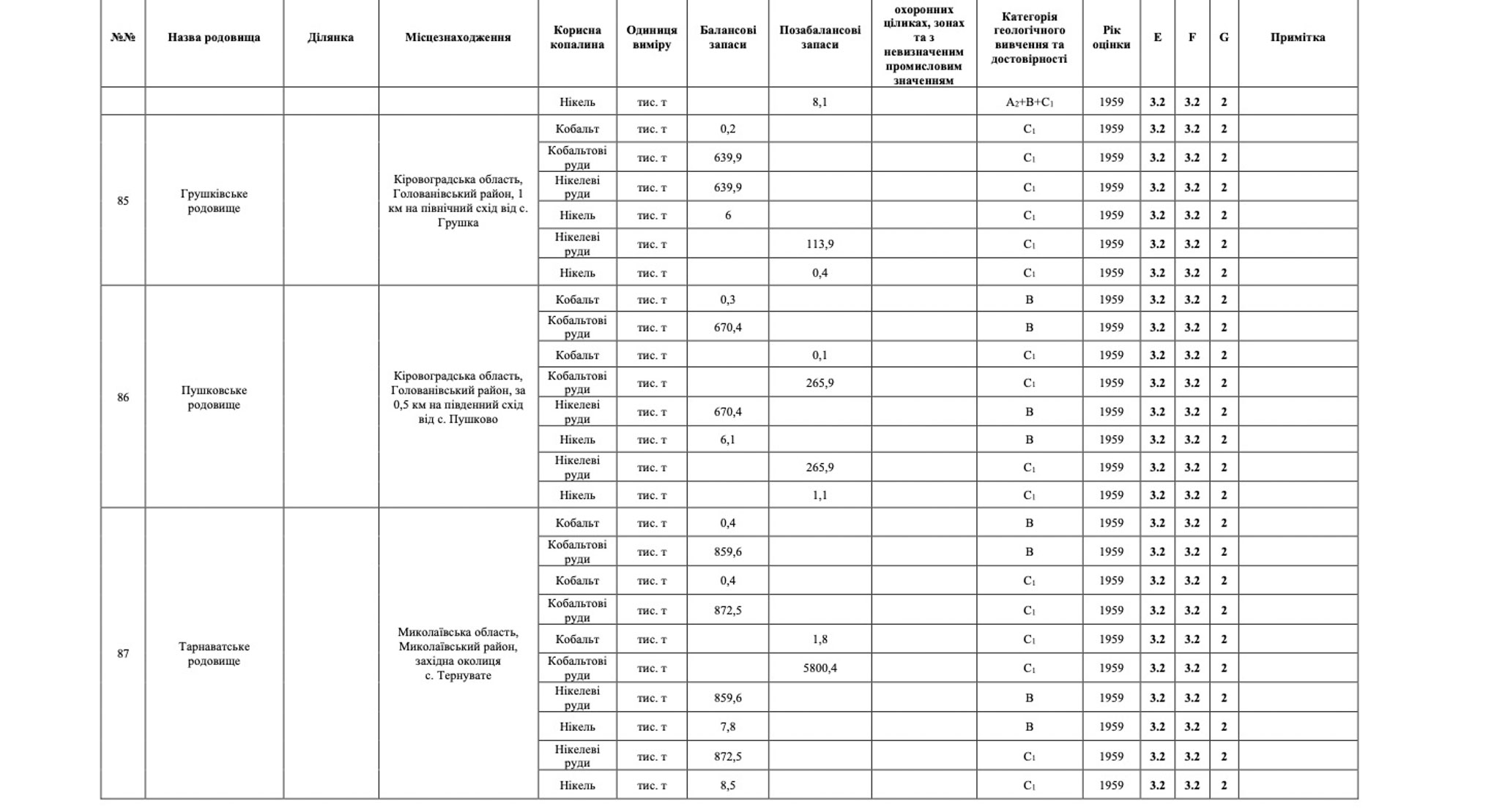
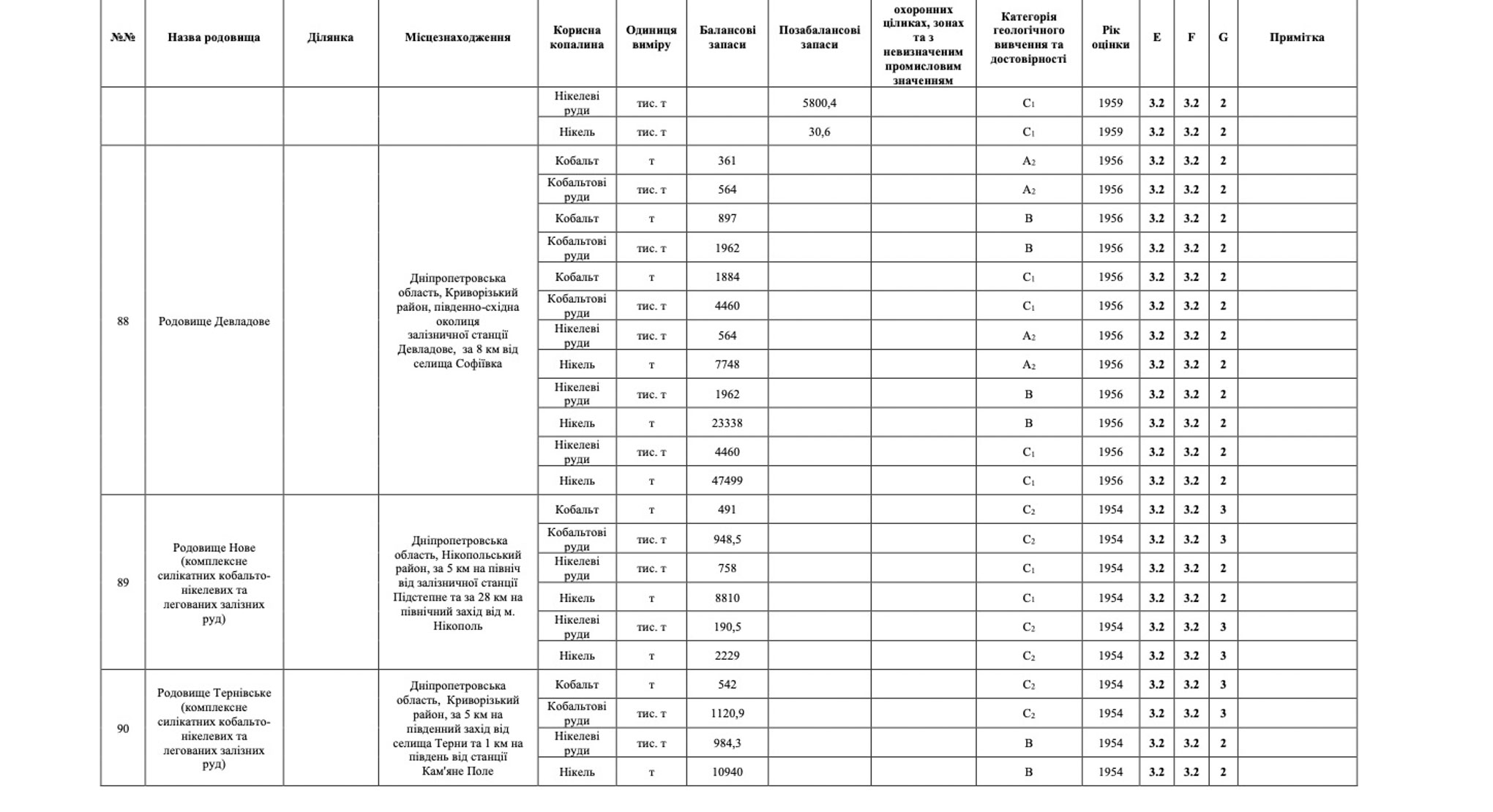
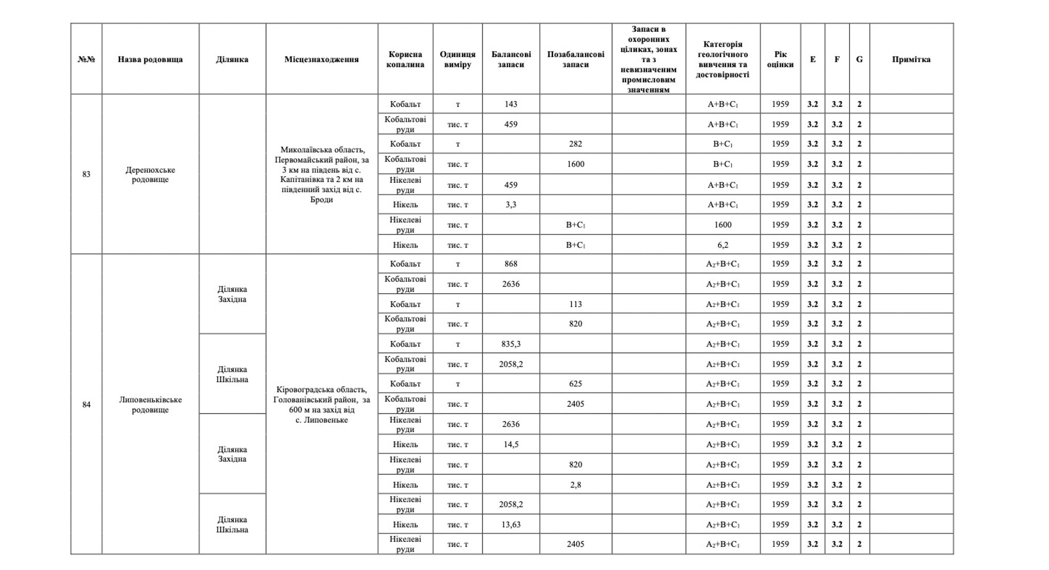
Нікель (Кобальт)
Головними сферами використання нікелю є металургія (виробництво нержавіючої та легованої сталі), хімічна й аерокосмічна галузі, приладобудування, суднобудування, авто- і авіабудування та інші галузі економіки. В Україні потреби в нікелі задовольняється за рахунок імпорту.
Виділяються два основних геолого-промислових типи родовищ нікелю: оксидно-силікатний (латеритний) нікелевий та сульфідний мідно-нікелевий. На долю трьох країн (Куби, Нової Каледонії, Індонезії) припадає майже половина світових запасів нікелю.
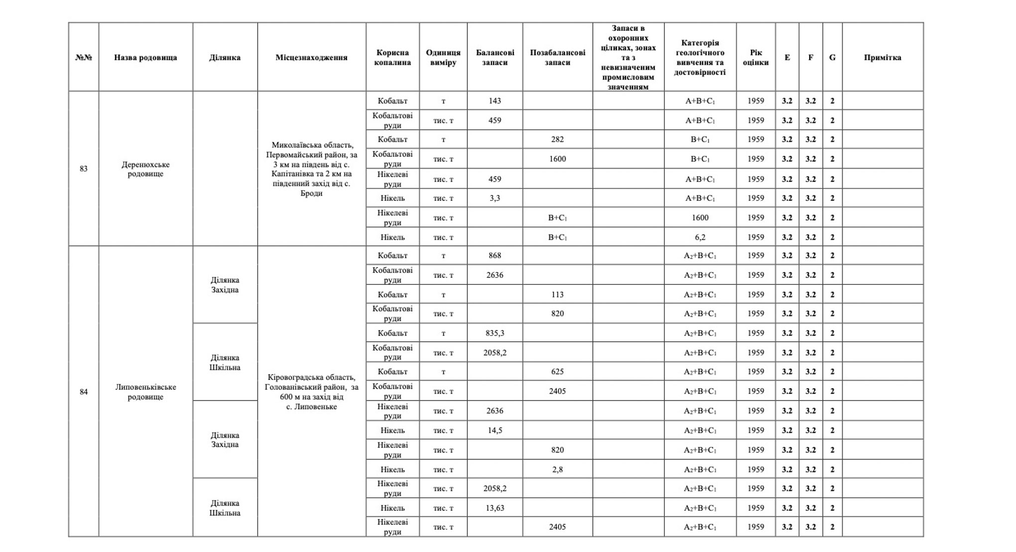
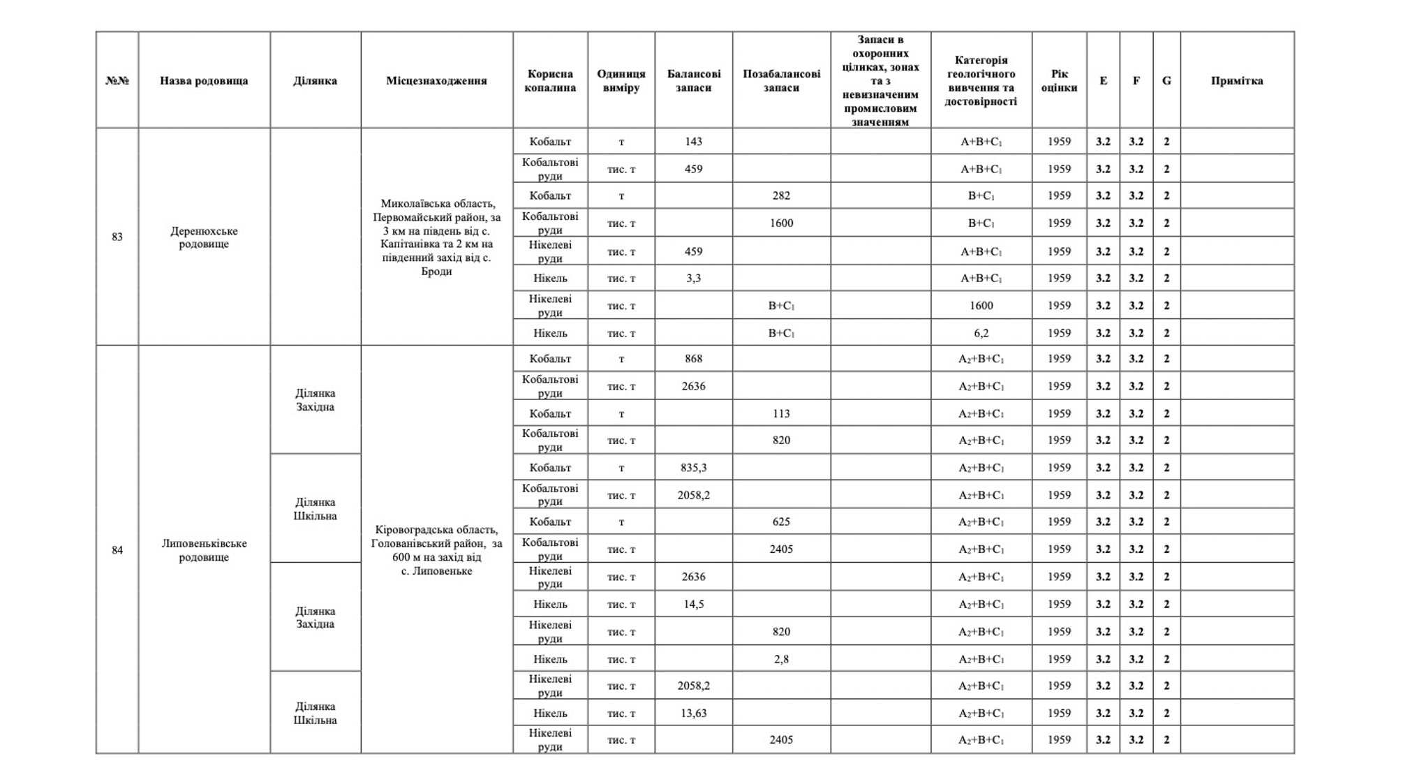
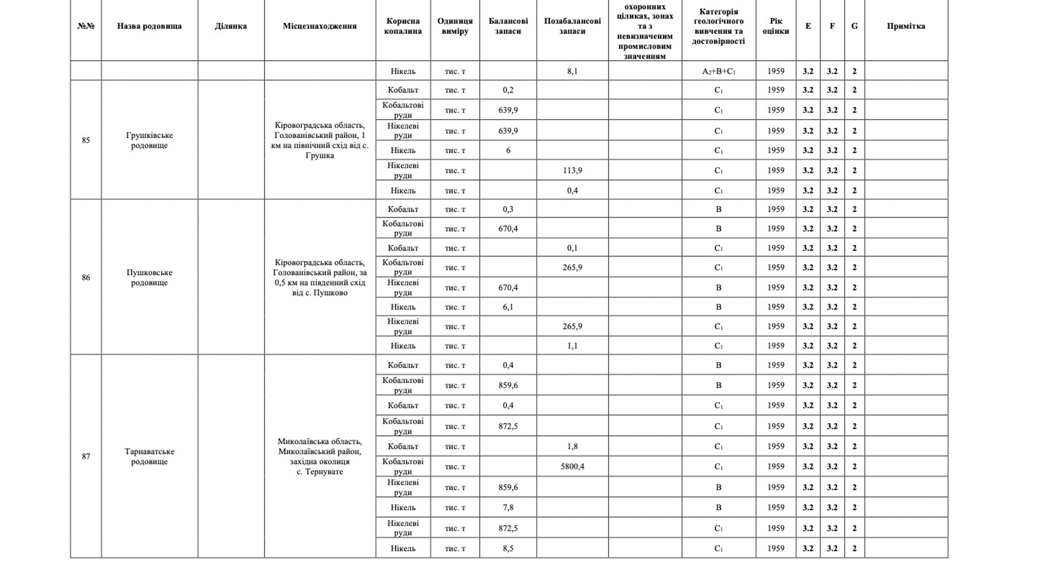
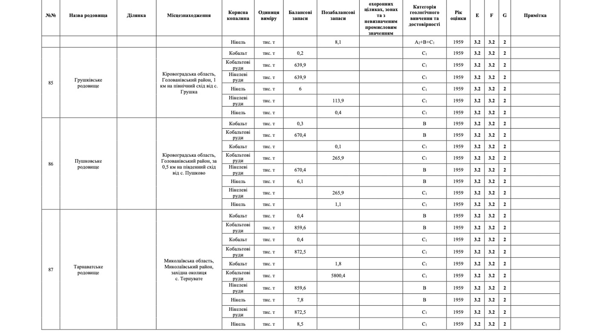
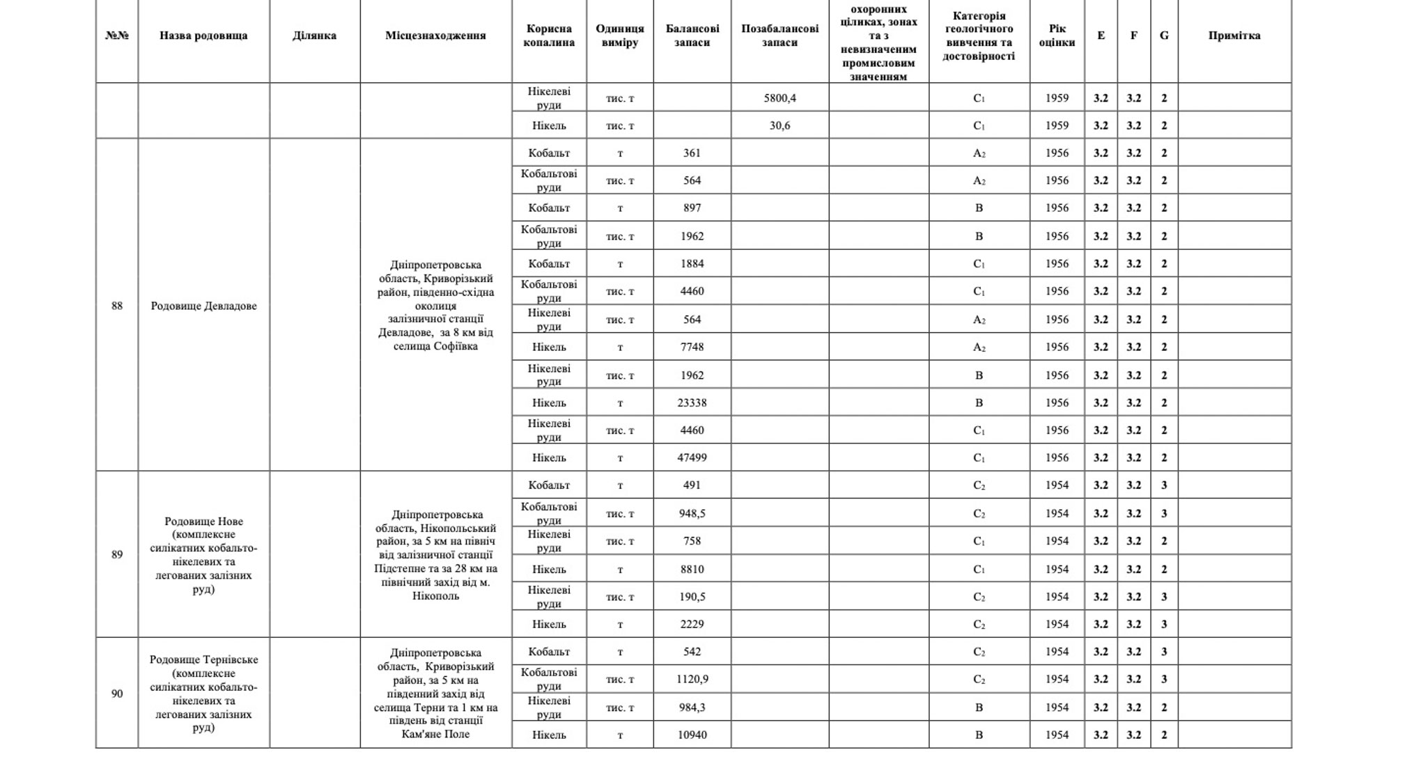
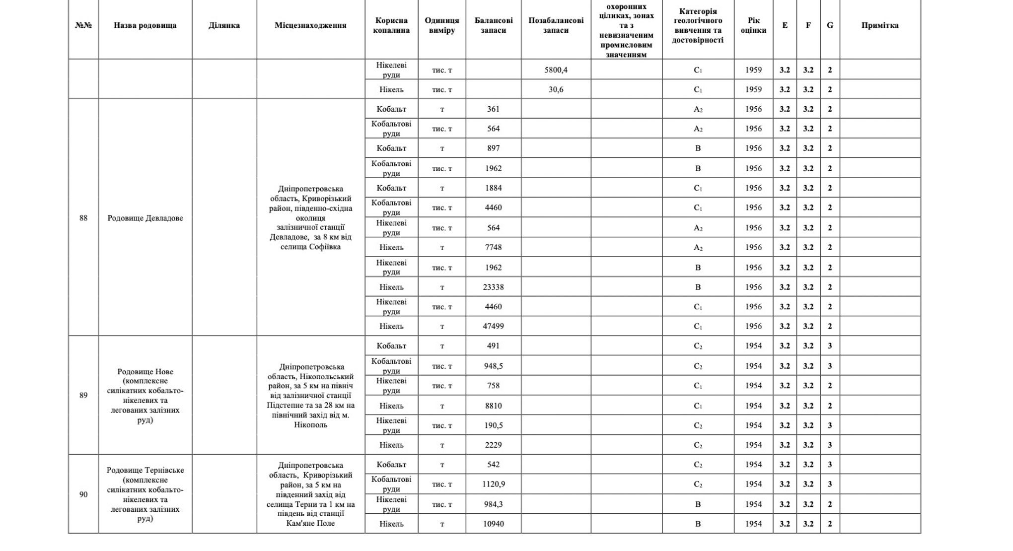
В Україні за результатами геологорозвідувальних робіт 1951–1959 рр. на Побужжі та в районі Середнього Придніпров’я відкрито і розвідано десять родовищ силікатного нікелю. Родовища приурочені до кори вивітрювання основних порід Українського щита. Виділяють дві групи родовищ: Побузька (родовища Деренюхське, Капітанівське, Липовеньківське, СхідноЛиповеньківське, Пушковське, Грушківське та Тарнаватське) та Дніпровська (родовища Девладове, Нове, Тернівське, Червоний Яр). Є перспективи пошуків і виявлення сульфідного мідно-нікелевого зруденіння (Прутівський рудопрояв, пов’язаний з базит-ультрабазитовою інтрузією на УЩ).
Кобальт-нікелеві руди пов’язані з корами вивітрювання ультраосновних порід – серпентинітами, піроксенітами, габро-амфіболітами. Кора вивітрювання складена каолінами та нонтронітами. Хромові руди пов’язані з масивами основних і ультраосновних порід – серпентинітами, піроксенітами, габро-амфіболітами.
У період 1953–1958 рр. в результаті геолого-пошукових робіт у районі Середнього Побужжя було відкрито ще кілька родовищ: Капітанівське (діл. Центральна), Липовеньківське (діл. Західна та Шкільна), Деренюхське (діл. Південна), Тарнаватське, Грушківське, Пушковське та близько 20 рудопроявів.
До групи родовищ силікатних нікелевих руд Середнього Побужжя входять 9 невеликих родовищ: Капітанівське (діл. Центральна та Бурти), Липовеньківське (діл. Західна та Шкільна), Деренюхське (діл. Південна та Центральна), а також Тарнаватське, Пушковське та Грушківське. Родовища розташовані доволі компактно на лівому березі р. Південний Буг, уздовж її приток, і лише одне родовище (Тарнаватське) – на правому березі. Максимальна відстань між крайовими родовищами не перевищує 30 км.
Основні сфери застосування кобальту – металургія (для виробництва сплавів), хімічна та скляна промисловість.
Виділяють три основних генетичні типи родовищ кобальту: силікатний кобальт-нікелевий латеритний, стратиформний мідно-кобальтовий та сульфідний мідно-нікелевий магматичний. Особливістю металогенії кобальту є тісний зв’язок з міддю і нікелем.
Специфіка видобутку кобальту полягає в тому, що в більшості випадків він вилучається з комплексних нікелевих і мідних руд. Завдяки тому, що більшість промислових руд містять кобальт як супутню домішку, переробка цих руд є дуже складною, і її спосіб залежить від складу руди. В остаточному підсумку при переробці руд одержують розчин хлоридів кобальту та нікелю, що містить домішки Сu, Рb, Ві. Після хімічного видалення супутніх домішок з розчину отримують металевий (чорновий) кобальт. В свою чергу, металевий кобальт, що містить до 2–3 % домішок (Ni, Fe, Сu і ін.), може бути очищений електролізом для отримання рафінованого видобутку.
Державним балансом запасів корисних копалин України обліковуються запаси кобальту по одинадцяти комплексних кобальтвміщуючих силікатнонікелевих і одному сульфідному мідно-нікелевому родовищах районів Побужжя та Середнього Придніпров’я (джерело).
Руди рідкіснометалевих та рідкісноземельних металів
П’ятнадцять рідкісноземельних металів (РЗМ), або лантаноїдів, і близький до них ітрій є «новими» рідкісними металами, попит на які значно зростає. Більша частина рідкісноземельних металів використовується у вигляді сумішей, оксидів, мішметалу (змішаних металів) як каталізатори для крекінгу нафти (екологічно чистий бензин), у чорній та кольоровій металургії, при виробництві особливих сортів скла та захисної кераміки. В останнє десятиліття досить активно розвивалося застосування індивідуальних рідкісноземельних металів та їх оксидів у високотехнологічних галузях. Церієві лантаноїди застосовують у виробництві автокаталізаторів, нікель-гібридних батарей, оптичного скла (La, Ce, мішметал), надпотужних постійних магнітів (Nd, Sm). Ітрієві селективні лантаноїди використовуються в оптоелектроніці (Tb, Dy, Er та ін.), атомній техніці (Eu, Gd), надпровідній та інженерній кераміці (Y).
Основними країнами, що видобувають рідкісні землі, є Китай (де відомі найбільші родовища бастнезиту Байан-Обо, монациту і ксенотиму Гуангдонг, родовища латеритного профілю Хунву і Лонгнан та ін.), США (з родовищами бастнезиту Маунтин-Пас, монациту Грин-Кав-Спрінгз та ін.), Індія, країни СНД. Вони ж володіють і найбільшими запасами рідкісних земель. Найбільшими споживачами рідкісних земель є США.
Україна має значні ресурси TR, хоча й не видобуває їх. Тут відомі родовища як традиційних типів, пов’язані з карбонатитами (Новополтавське) і маріуполітами (Октябрське), так і нетрадиційних: багаті цирконієві та рідкісноземельно-цирконієві руди безнефелінових сієнітів (Азовське і Ястребецьке). Крім того, у Приазов’ї відоме родовище багатих руд церієвої групи (Петрово-Гнутівське), складених паризитом, кальцитом і флюоритом. За вмістом і складом TR воно подібне до таких родовищ світового класу, як Маунтин-Пас і Байан-Обо.
За зв’язком із типами порід ендогенна рідкісноземельна мінералізація може бути:
- цирконій-торій-рідкісноземельною в гранітах, сієнітах і пегматитах (Миколаївське та Сабарівське родовища Придніпров’я, Ястребецьке – Полісся, Успенський прояв Приазов’я);
- ітрій-рідкісноземельно-цирконієвою в лужних сієнітах (Азовське, Анадольське,
Петрово-Гнутівське родовища Приазов’я); - уран-торій-ітрій-рідкісноземельною в калієвих і натрієвих метасоматитах (Лозоватське, Калинівське, Южне родовища Кіровоградського УРР, родовище Балка Корабельна).
Руди більшості родовищ України відносяться до бідних, що ускладнює їх залучення в експлуатацію.
Виділяються чотири найважливіші райони розвитку ендогенної рідкісноземельної мінералізації:
- Подільський, де вона пов’язана з гранітами бердичівського і житомирського комплексів, діоритами і гранодіоритами звенигородського комплексу;
- Пержанський рудний вузол – із пержанськими гранітами, сієнітами і калієвими метасоматитами з цирконом і бритолітом (Ястребецьке родовище);
- Криворізький урановорудний район – із калієвими і натрієвими метасоматитами, сієнітами корсунь-новомиргородського комплексу;
- Приазовська область – із гранітами і пегматитами салтичанського, анадольського (Анадольське родовище), кам’яномогильського комплексів, карбонатитами чернігівського комплексу (Новополтавське), сієнітами південнокальчицького комплексу (Азовське).
Крім ендогенної, в Україні відомі прояви рідкісноземельної мінералізації, пов’язаної з корами вивітрювання, а також монацитвмісні розсипи (Волино-Подільський і Приазовський райони).
Державним балансом запасів корисних копалин враховуються запаси рідкісних земель по трьох родовищах – Новополтавському, Яструбецькому (ділянка ПівденноЗахідна) та Анадольському. У 2019 р. назву Держбалансу «Ітрієві лантаноїди та ітрій» змінено на «Руди рідкісноземельні» (джерело) (джерело).
Срібло
Срібло, як золото і мідь, є одним з найдавніших металів, відомих людству. Більша частина срібла, крім традиційного використання в ювелірній промисловості і в карбуванні монет та медалей (10 %), використовується у виробництві кіно- і фотоматеріалів (30–35 %). Електронна та електротехнічна промисловість споживає 13–17 % загального обсягу срібла. Крім того, срібло використовують для виготовлення різних медичних і побутових приладів, посуду, покриття апаратів харчової промисловості та дзеркал. Срібло також застосовується для знезаражування води, а колоїдне срібло має антисептичний ефект на слизові оболонки, що робить його складовою частиною таких медичних препаратів, як аргірол, протаргол, коларгол. Таким чином, срібло відноситься до тих металів, яким не завжди можна знайти рівноцінну заміну.
Родовища срібла поділяються на два типи: власне сріблорудні і комплексні срібловмісні. В генетичному відношенні вони належать до гідротермальної (плутоногенної, вулканогенної та амагматогенної), скарнової, колчеданної і метаморфогенної груп.
В Україні до 80-х років минулого століття геологорозвідувальні роботи з пошуків срібла не проводилися в достатніх обсягах. Однак останнім часом, у зв’язку з підвищенням інтересу до поліметалічних родовищ, виявлено значні ресурси срібла, як у вигляді власних руд, так і як супутній компонент в рудах золота та кольорових металів. Основними регіонами розповсюдження срібла в Україні є Закарпаття, Донбас, в меншій мірі – Український щит, де срібло здебільшого входить до складу поліметалевих родовищ і проявів, рідко утворюючи власні родовища (Квасівське в Закарпатті та Журавське на Донбасі). Крім перелічених районів, підвищену концентрацію срібла виявлено в рудах самородної міді на Волині (172 г/т), мідистих пісковиках Бахмутської улоговини (9 г/т) та в ряді районів УЩ. В цілому, сріблоносність надр України погано вивчена. Загальні ресурси срібла в Україні наближаються до 600 т.
Державним балансом запасів корисних копалин України враховані запаси срібла, як супутнього компонента золота, по Мужіївському (Закарпатська область) та Бобриківському (Луганська область) родовищах. Слід зазначити, що Державним балансом не враховані запаси срібла Біганського родовища сульфідно-баритових руд (джерело).

Стронцій
Стронцій використовується у виробництві спеціального скла (для телевізорів, комп’ютерів, радарів), керамічних магнітів (феритів), пігментів, у піротехніці, а також як легуюча добавка до сплавів.
В природному стані стронцій представлений сульфатом стронцію (целестином) та карбонатом стронцію (стронціанітом). Стронцій також міститься в природних мінеральних водах. Запаси стронцію в Україні вперше були враховані Державним балансом запасів корисних копалин станом на 01.01.1962 р. по Подорожнянському родовищу сірки (Львівська область).
Стронцій у сірчаних рудах родовища був виявлений у вигляді сполуки Sr2О4 – целестину білого кольору з жовтуватим та сіруватим відтінками у вигляді тонких прожилок, вкраплень та гнізд. Запаси стронцію (SrО) на Подорожнянському родовищі були затверджені ДКЗ СРСР у 1961 р. (протокол № 3463) за категорією С2 в кількості 495,5 тис. т у контурі запасів сірчаних руд (кат. А + В).
Родовище розроблялося з 1971 р. Роздольським об’єднанням Міндобрив “Сірка”. Видобуток стронцію із сірчаних руд не проводився, хвости збагачення сірчаних руд частково використовувалися як мінеральні добрива, що призводило до забруднення навколишнього середовища. У 1985 р. запаси родовища були повністю відпрацьовані.
Державним балансом запасів корисних копалин України враховані запаси оксиду стронцію (SrО) по Новополтавському апатитрідкіснометалевому родовищу. Стронцій, як супутній компонент, міститься в апатитових рудах у вигляді ізоморфних домішок. Родовище підготовлене до розробки, запаси стронцію відносяться до видобувних (джерело).
Тантал та ніобій (родовища з відкритими даними)
Тантал та ніобій є важливими металами технологічного процесу і використовуються для легування сталі (добавки з танталу та ніобію надають їй міцності, в’язкості, корозійної стійкості).
Виділяються генетичні типи родовищ цих металів, які пов’язані з рідкіснометалевими гранітами і метасоматитами, рідкіснометалевими лужними гранітами і метасоматитами, рідкіснометалевими пегматитами, карбонатитами і лужними ультраосновними породами, агпаїтовими нефеліновими сієнітами, лужними ефузивами. Крім того, виділяються екзогенні, приурочені до кори вивітрювання та розсипні родовища. Більшість родовищ танталу є комплексними: тантал-ніобієві, танталрідкісноземельні, тантал-олов’яні. До найбільш продуктивних відносяться кори вивітрювання рідкіснометалевих пегматитів і карбонатитів.
На карбонатити та кори їх вивітрювання припадає близько 94 % світових підтверджених запасів пентоксиду ніобію. На території України тантал і ніобій виявлені у комплексних родовищах і рудопроявах центральної, південносхідної та північно-західної частини Українського щита. На північному заході Українського щита, в межах Сущано-Пержанської зони та Ястребецького масиву, Кочерівського синклінорію та ін. були виявлені тантал-ніобієві руди (в асоціації з ітрієм, цирконієм та оловом), де вони тяжіють до рідкіснометалевих метасоматитів і пегматитів.
В центральній частині УЩ виявлено рідкіснометалевий Шполянсько-Ташлицький район з родовищами заміщених літієвих пегматитів, у складі яких виявлені тантало-ніобати. У 1984–1987 рр. розвідане Шевченківське родовище сподуменових руд, яке розташоване в північно-східній частині Приазовського блоку Українського щита, в області зчленування із Дніпровсько-Донецькою западиною. На родовищі виділяють два різновиди руд: сподуменові (альбітмікроклін-сподуменові) та петаліт-сподуменові руди. Запаси сподуменових руд враховані Держбалансом “Руди літію”. Крім основного компоненту, оксиду літію, в рудних пегматитових жилах була встановлена тантал-ніобієва мінералізація. Запаси оксиду танталу та оксиду ніобію були оцінені рішенням ДКЗ СРСР (протокол № 10525, 1988).
У Приазов’ї були виявлені та з різним ступенем детальності розвідані два комплексних родовища рідкісних металів: Новополтавське (рудоносні карбонатити) та Мазурівське (рідкіснометалеві нефелінові сієніти і метасоматити) з відносно значними запасами танталу і ніобію, які були оцінені рішенням ЦК з Мінметалургії СРСР (протокол від 29.02.1990 № 622-ВК).
Державним балансом запасів корисних копалин України запаси пентоксиду танталу та ніобію обліковуються по п’яти родовищах: комплексних розсипних циркон-рутил-ільменітових Малишевському та Вовчанському (Дніпропетровська область), корінному апатитрідкіснометалевому Новополтавському (Запорізька область), у відходах збагачення вивітрілих руд Східної ділянки Мазурівського родовища (Донецька область) та по ділянці танталових руд Мостове у межах рудної зони 3 (Кіровоградська область).
Видобуток в незначній кількості ведеться на Малишевському та Вовчанському родовищах (джерело).

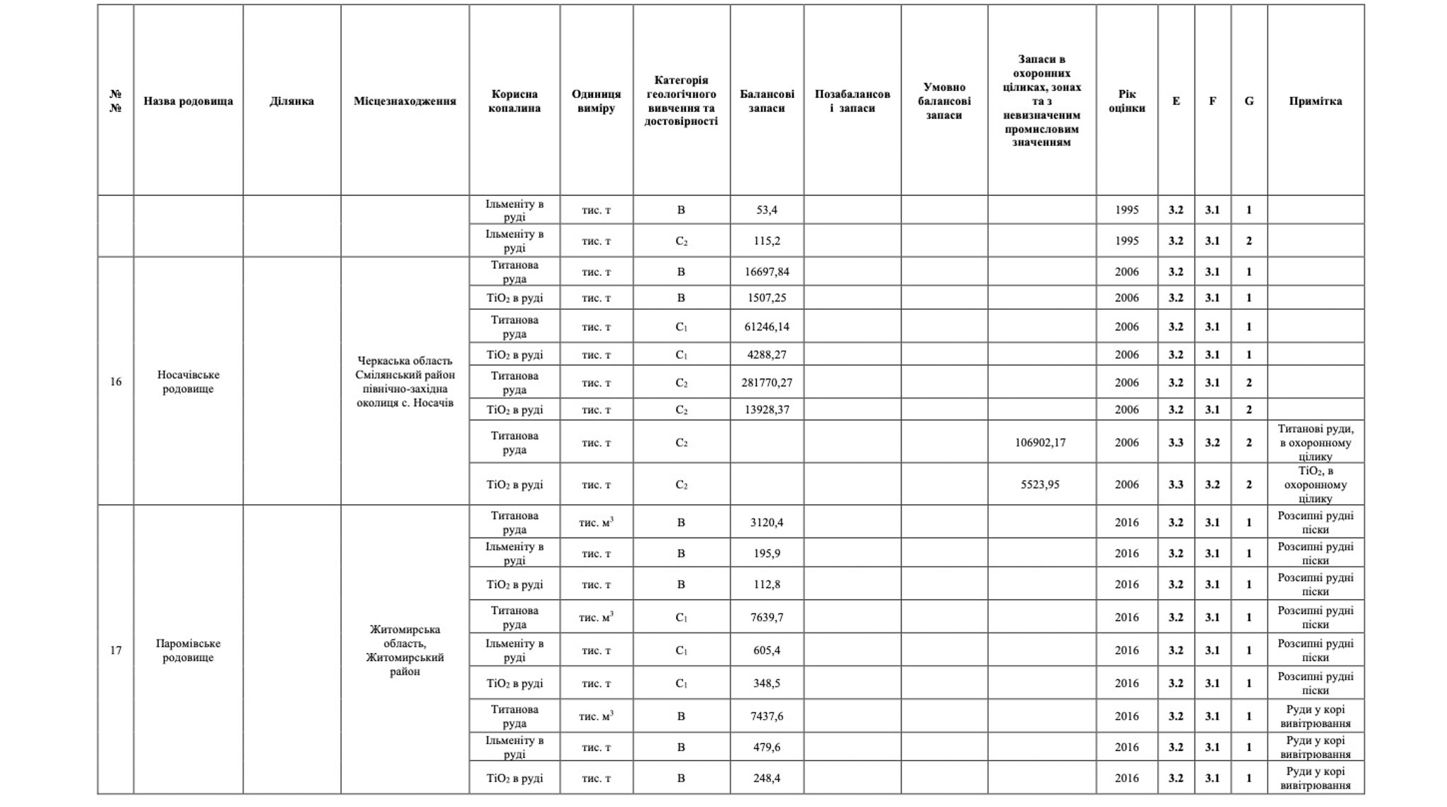
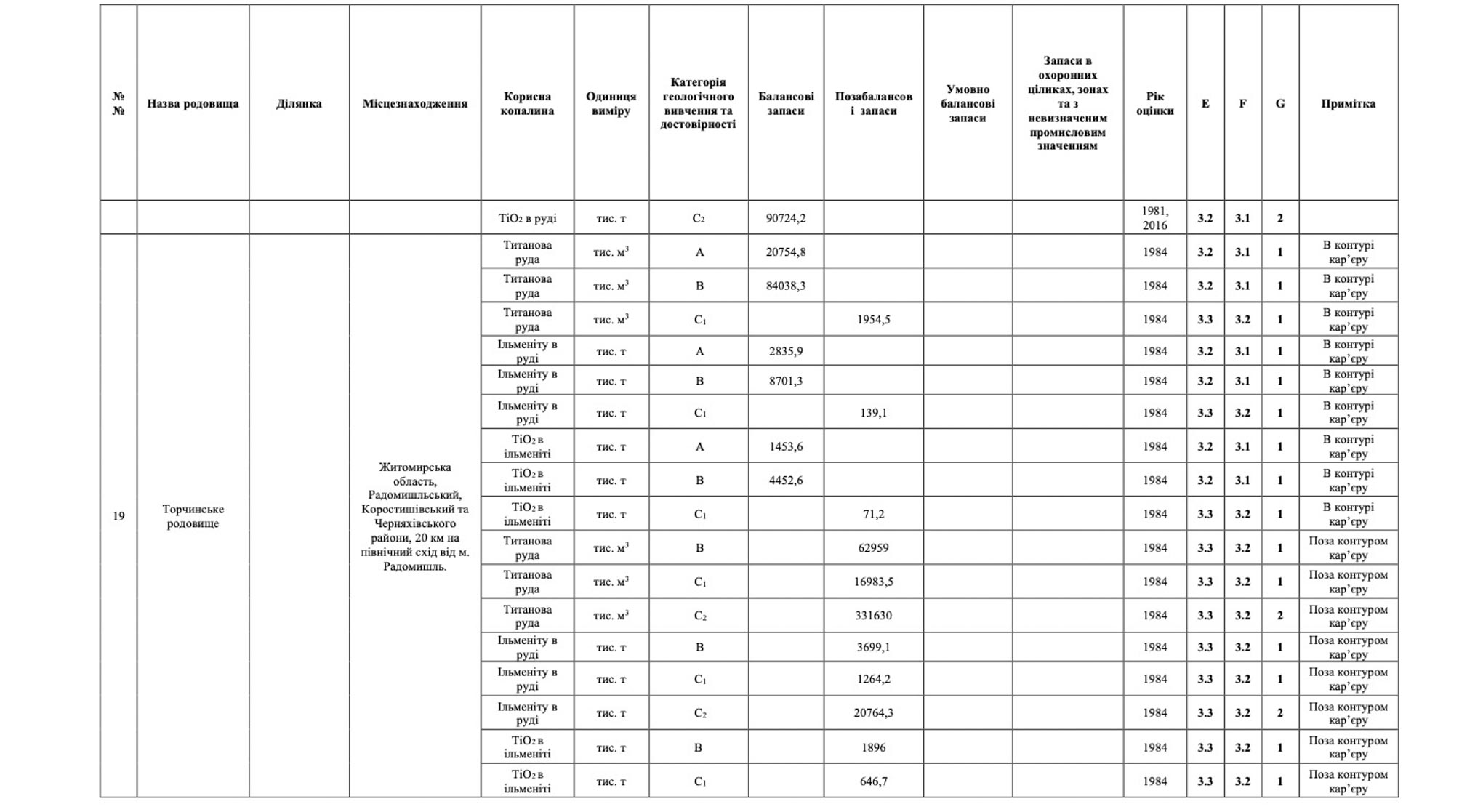
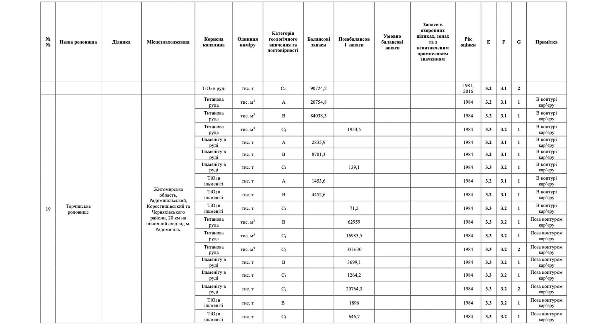
Титан
Титан використовується в різних галузях промисловості: авіакосмічній, хімічній, харчовій, у нафтовому машинобудуванні, чорній і кольоровій металургії, у виробництві пігментів для фарб, паперу, тощо.
На території України виявлені та розвідані значні запаси та ресурси титанових руд, що перевищують сумарні запаси титану всіх інших країн світу. Ще з кінця 1950-х років відома Українська титановорудна провінція, що просторово міститься в контурах розвитку докембрійських порід УЩ та його осадового чохла. Титанові руди, що відносяться до екзогенної й ендогенної серій, представлені такими типами:
- циркон-рутил-ільменітові давні поховані прибережно-морські розсипи фацій мілководного моря (Малишевський тип);
- ільменітові алювіальні, алювіально-делювіальні континентальні розсипи (Іршанський тип);
- ільменітові й апатит-ільменітові елювіальні родовища кори вивітрювання основних порід;
- корінні апатит-ільменіт-титаномагнетитові родовища в габроїдах;
- циркон-рутил-ільменітові сучасні прибережно-морські розсипи піщаних пляжів і мілководного шельфу (Джарилгацький тип).
У нинішній час експлуатуються лише перші два з названих типів.
Читайте також про аудит стратегічних надр: строки і цілі, кого і як перевіряють
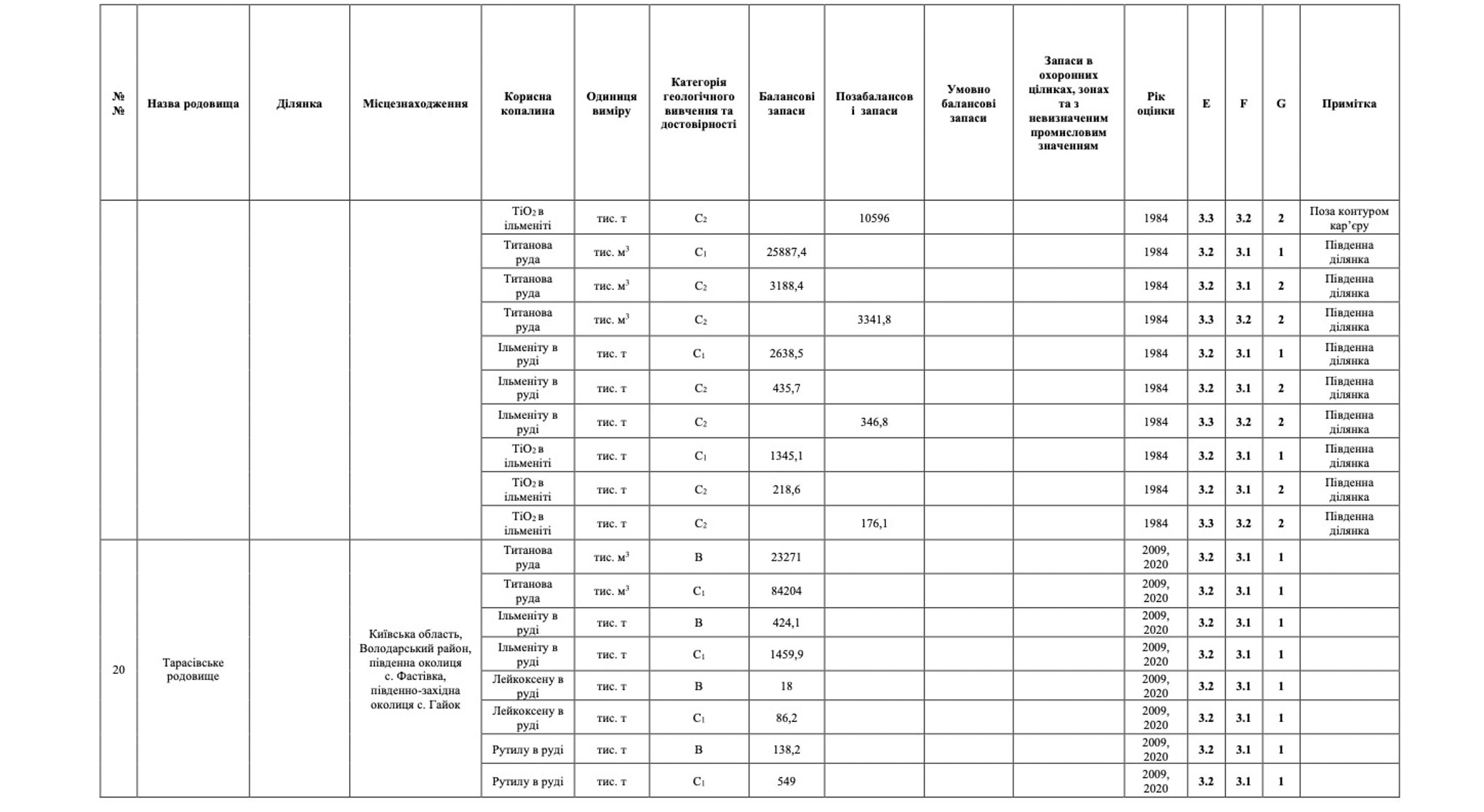
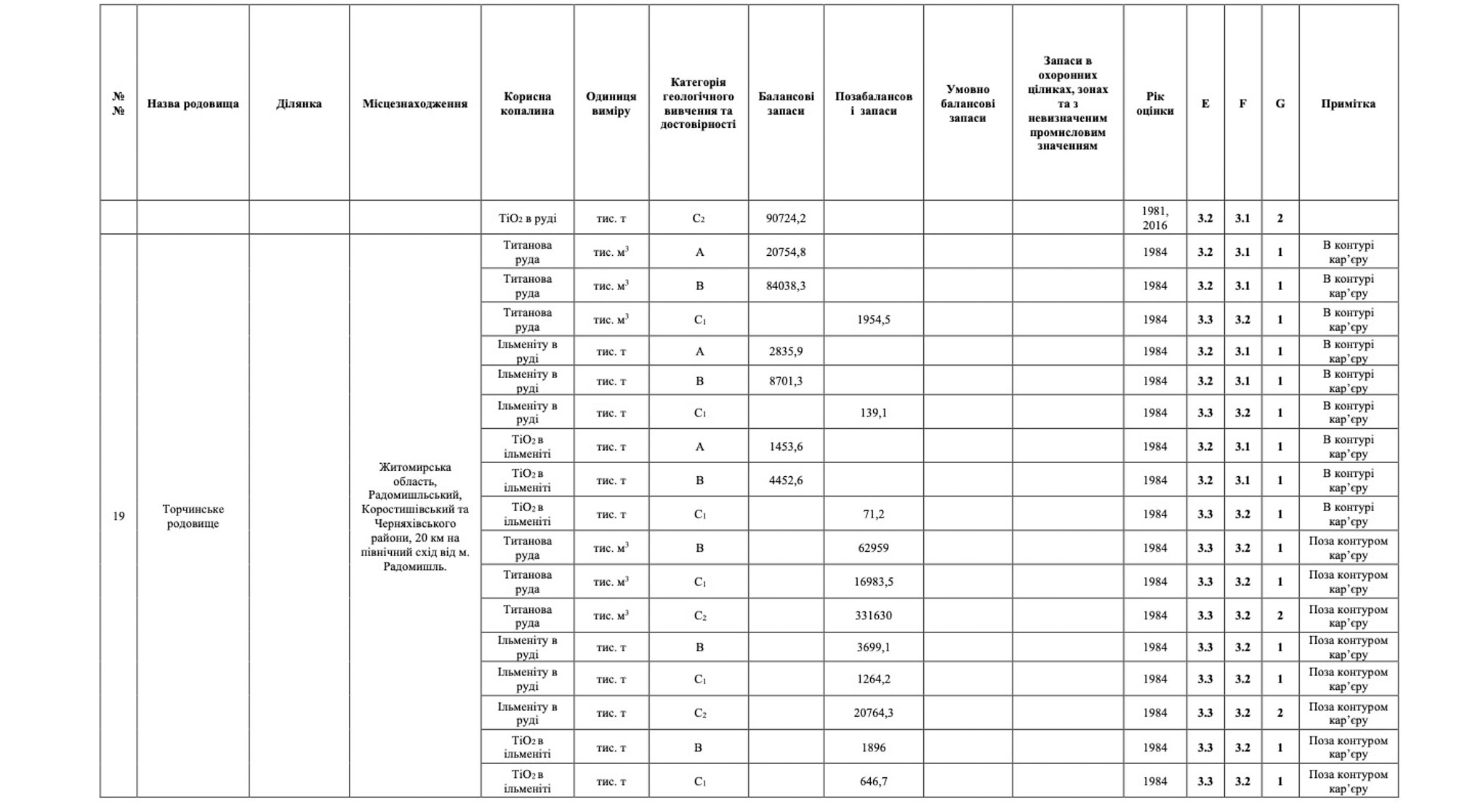
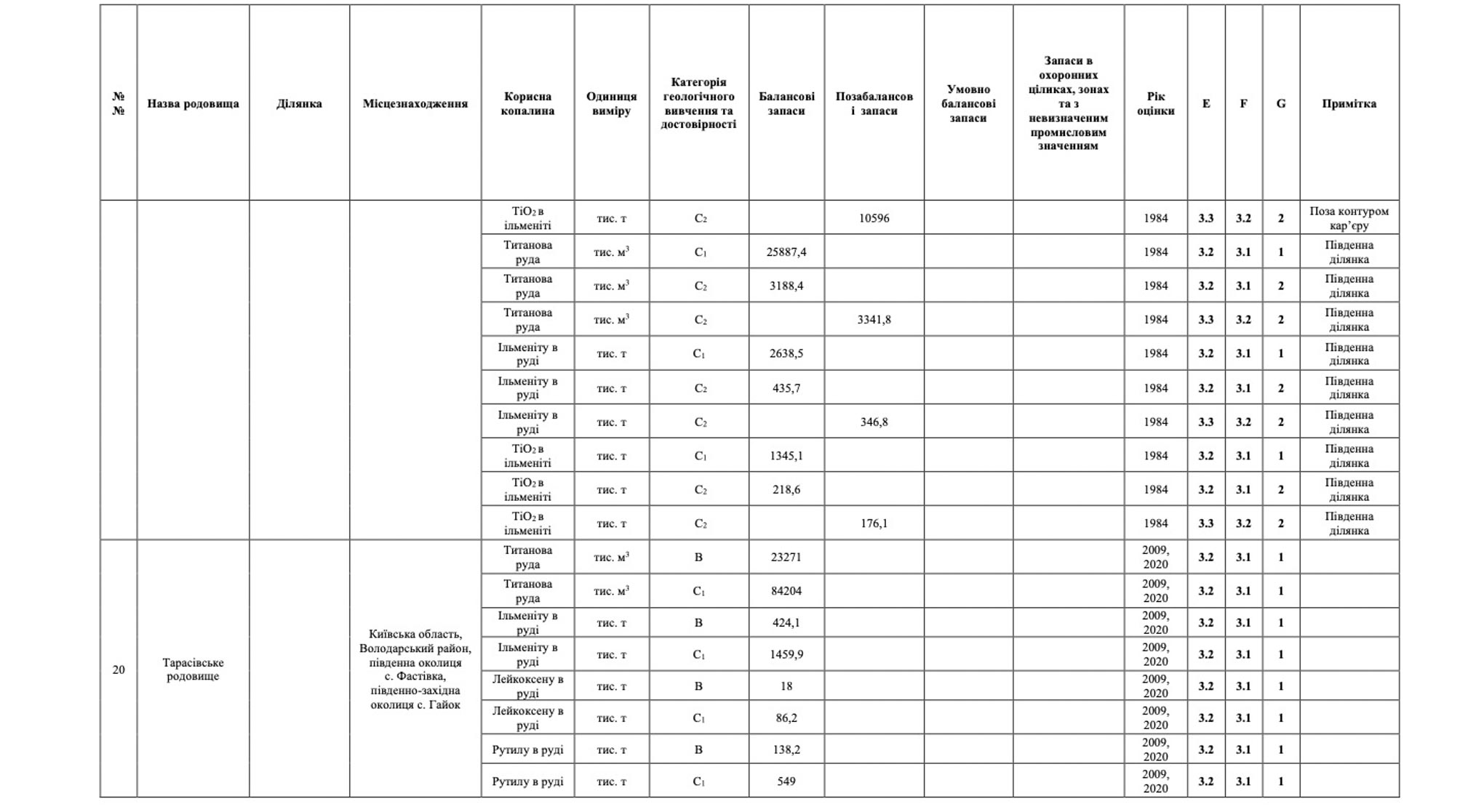
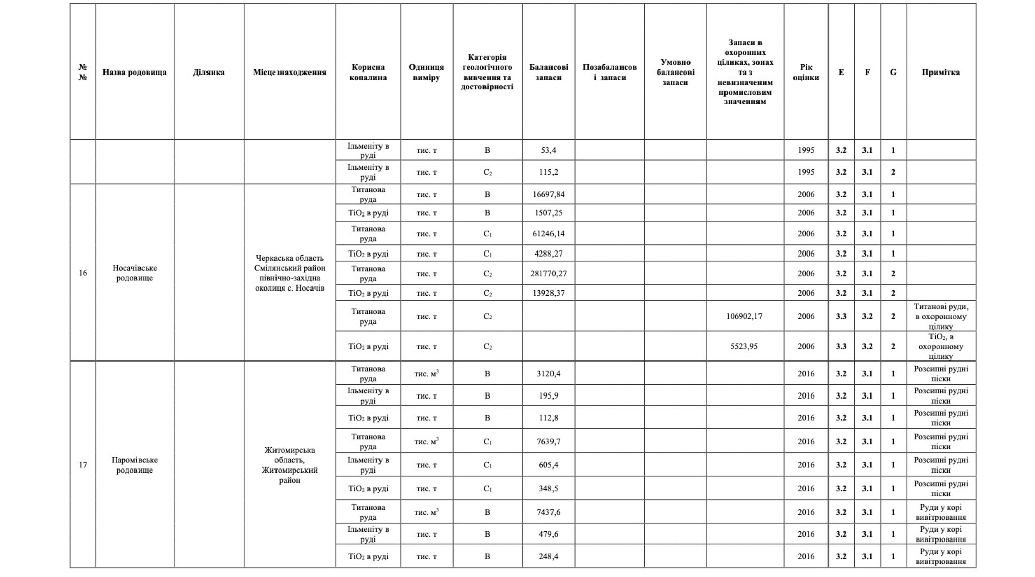
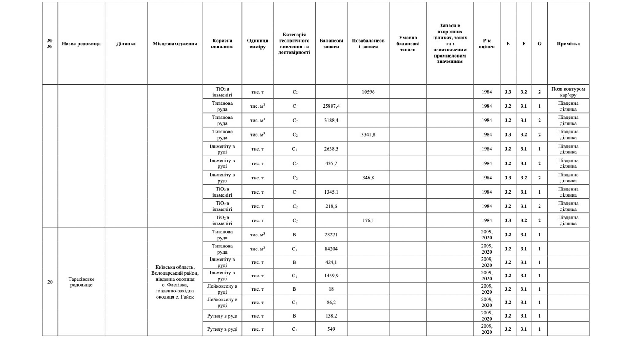
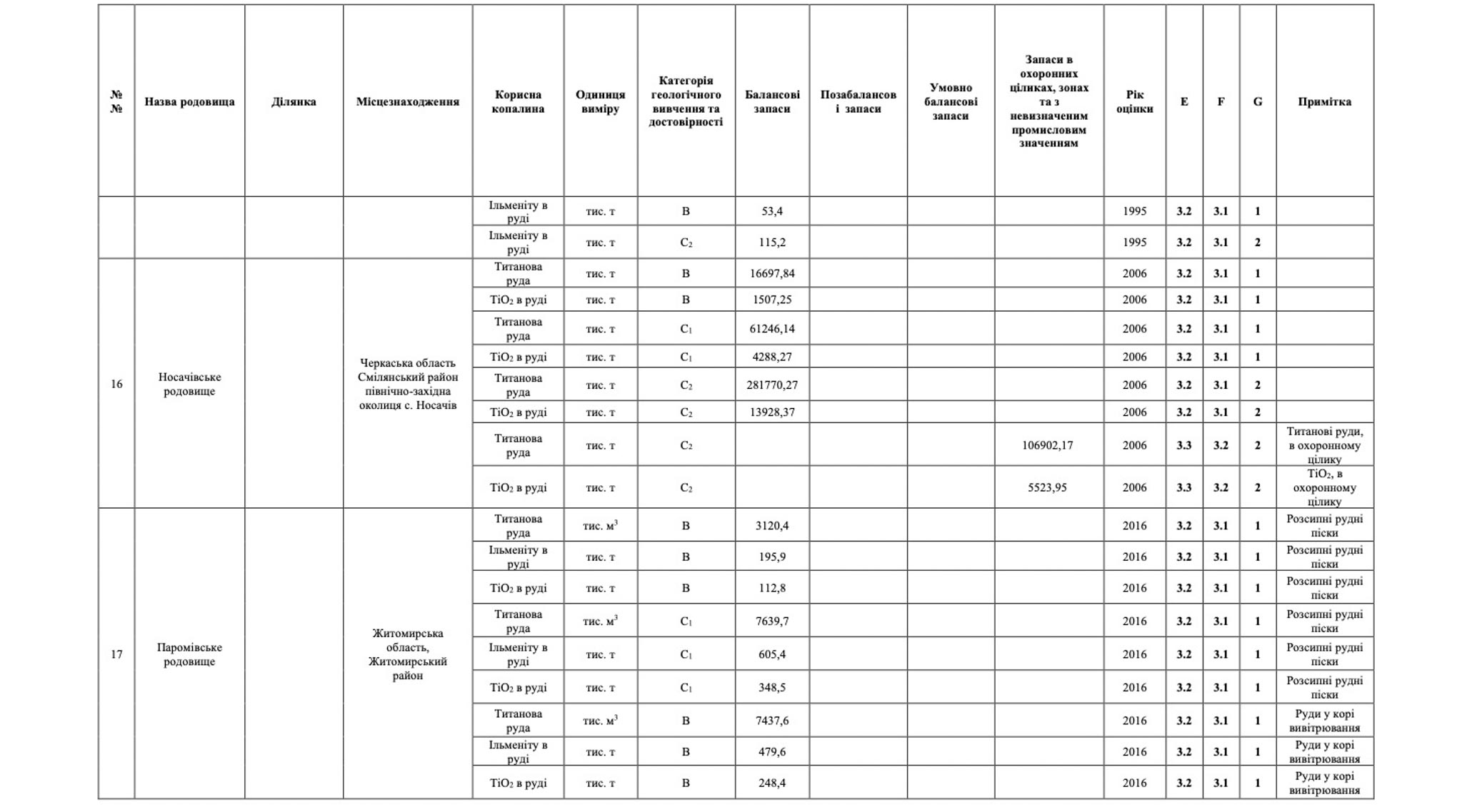
Циркон-рутил-ільменітові давні поховані прибережно-морські розсипи. Найбільш продуктивними стосовно комплексних титан-цирконієвих розсипів є прибережно-морські фації міоценового й олігоценового морів, піщано-глинисті відклади яких утворюють головну – Придніпровську – розсипну зону. Ця зона шириною 50-120 км витягнута на відстань до 900 км уздовж північно-східного схилу УЩ. Промислові розсипи містять загального концентрату 50-60 кг/м3 при продуктивній потужності 2-3 м, утворюють 11 комплексних титан-цирконієвих родовищ (Малишівське, Тарасівське, Краснокутське, Вовчанське, Зеленоярське, Воскресенівське та ін.).
Промислові ільменітові алювіальні, алювіально-делювіальні континентальні розсипи відомі в північно-західній частині УЩ, де в межах Коростенського плутону міститься Іршанська група алювіальних родовищ – Іршанське, Верхньо-Іршанське, Лемненське, Лівобережне, Межирічне, Ушицьке, Ушомирське, Злобицьке та інші.
Державним балансом запасів корисних копалин України «Руди титану» обліковуються 28 родовищ, більшість яких мають досить високий ступінь розвідки. Розробляються дванадцять родовищ. На базі розсипних родовищ титану діють Іршанський ГЗК (ділянки Юрська, Осинова та Букінська Межирічного родовищ) та філія «Вільногірський гірничо-металургійний комбінат» державного підприємства «Об’єднана гірничо-хімічна компанія» (Малишевське родовище). Іршанський ГЗК виробляє ільменітовий концентрат, який використовується для виробництва пігментного титану сірчанокислотним способом, в меншій мірі – для виробництва титанової губки. На Вільногірському ГЗК виробляють ільменітовий та рутиловий концентрати. Ільменітовий концентрат Малишевського родовища переробляється на титанову губку і частково використовується для одержання штучного рутилу. На комбінаті є установка для рутилізації ільменіту (одержання штучного рутилу). Рутиловий концентрат використовується переважно для покриття зварювальних електродів.
У 2021 р. Державним балансом запасів корисних копалин України «Руди титану» вперше враховане Паромівське родовище титанових руд (Житомирська обл.) (джерело).
Циркон
Цирконієві концентрати використовуються, в основному, у виробництві кераміки, вогнетривів, ливарному виробництві.
Промислові запаси цирконію пов’язані з прибережно-морськими розсипними родовищами, корінними баделеїтвміщуючими родовищами в масивах ультраосновних лужних порід і карбонатитів та з корами вивітрювання і континентальними комплексними каситеритовими розсипами.
Україна володіє значними запасами цирконію. Розсипні та корінні родовища цирконію виявлені в центральній та північно-східній частинах Українського щита, в південно-східній частині Дніпровсько-Донецької западини. В центральній частині Українського щита і в південно-східній частині Дніпровсько-Донецької западини розвідані комплексні циркон-рутил-ільменітові розсипи в морських теригенних відкладах сарматського ярусу та полтавської світи неогену (Малишевське, Вовчанське, Воскресенівське, Тарасівське, Краснокутське). У південно-східній частині Українського щита виявлені мономінеральні цирконові розсипи (родовище Мокрі Яли) та Маріупольське розсипне родовище, приурочене до лужних сієнітів Східно-Приазовського граносієнітового комплексу протерозойського віку.
До 90-95 % видобутку цирконію припадає на розсипні родовища. В українських родовищах циркон знаходиться разом з мінералами титану, й тому мінімальнопромисловий вміст циркону для таких об’єктів, як правило, визначається з урахуванням доцільності вилучення всього комплексу корисних компонентів. З досвіду видобутку об’єктів аналогів, Перспективними для промисловості вважаються розсипи зі вмістом колективного концентрату 50-60 кг/м3, потужністю продуктивного горизонту 3-6 м, співвідношенням розкриву породи/руда” ≤ 4, запаси продуктивних пісків 20-30 млн м3.
Державним балансом запасів корисних копалин України враховується 16 родовищ, з яких 3 – корінних, 8 – розсипних, 4 – техногенних рудних пісків та 1 – техногенне (відходи збагачення вивітрілих руд). Запаси ZrO2 у відходах збагачення вивітрілих руд Східної ділянки Мазурівського родовища (Донецька обл.) враховані відповідно до рішення ДКЗ України (протокол від 30.11.2017 № 4176).
На правах реклами КУПУЙ СПЕЦДОЗВОЛИ НА КОРИСТУВАННЯ НАДРАМИ ТУТ
З групи розсипних, державним балансом України по цирконію враховані запаси Малишівського, Тарасівського, Вовчанського, Воскресенівського, Краснокутського, Злобицького родовищ; запаси родовищ Мокро-Ялинської групи розсипів віднесені до забалансових.
Філія «Вільногірський гірничо-металургійний комбінат» державного підприємства «Об’єднана гірничо-хімічна компанія» та ТОВ «Мотронівський ГЗК» розробляють Малишевське розсипне родовище. На комбінатах випускається цирконовий концентрат, частина якого переробляється на двоокис цирконію, технічний двоокис гафнію та тетрахлорид кремнію.
Розробляються комплексні родовища: Вовчанське (ТОВ «Демурінський ГЗК»), техногенне родовище Балка Крута (ТОВ з іноземними інвестиціями «Кольорові метали»).
ДП «Українська геологічна компанія» проведені пошуково-оцінювальні роботи в межах Березівської, Юрівсько-Козіївської ділянках та пошукові роботи на Мар’янівській ділянці.
Приазовською комплексною геологічною партією КП «Південукргеологія» в минулі роки проведені пошуково-оцінювальні роботи на Азовській ділянці, розташованій в Володарському районі Донецької області. Виділяються два типи руд: цирконієві та цирконій-рідкісноземельні. Технологічною оцінкою доведена можливість отримання рідкісноземельного, цирконієвого і польовошпатового концентратів. В результаті геологорозвідувальних робіт були підраховані та оцінені запаси та перспективні ресурси комплексних цирконій-рідкісноземельних руд (протокол НТР ДГС №132 від 20.09.2007) (джерело).

Читайте також Єдиного видобувача камʼяної солі в Україні хочуть забанкрутити.

































































