Карʼєри Міністерства юстиції: що і скільки видобувають підприємства кримінально-виконавчої служби?
Надра юстиції
У сфері управління Міністерства юстиції України перебувають шість державних підприємств Державної кримінально-виконавчої служби України (ДКВСУ) добувного профілю виробництва. Повідомляє NADRA.info із посиланням на офіційні дані Департаменту з питань виконання кримінальних покарань Міністерства юстиції, отримані у відповідь на запит за підписом Начальника Департаменту підполковника внутрішньої служби Сергія Гречанюка (сканкопії додаємо).
Публікуємо перелік ДП із базовим описом спецдозволів на користування надрами:
|
№ |
Назва підприємства |
№ с/д |
Корисна копалина |
Ділянка надр, область |
| 1. |
ДП “Підприємство ДКВСУ (№67)” |
Вапняк |
Родовище Сокирянське, Чернівецька обл. |
|
| 2. |
ДП “Підприємство ДКВСУ (№73)” |
Граніт, Граніт порушений вивітрюванням |
Родовище Райківське, Житомирська обл. |
|
| 3. |
ДП “Підприємство ДКВСУ (№83)” |
Граніт, Граніт порушений вивітрюванням |
Родовище Костянтинівське, Миколаївська обл. |
|
| 4. |
ДП “Підприємство ДКВСУ (№92)” |
Граніт |
Родовище Старо-Бабанівське, Черкаська обл. |
|
| 5. |
ДП “Підприємство ДКВСУ (№93)” |
Граніт, Граніт порушений вивітрюванням |
Родовище Новоданилівське, Миколаївська обл. |
|
| 6. |
ДП “Підприємство ДКВСУ (№98)” |
Гранодіорит, Граніт, Гнейс |
Родовище Климентовицьке, Хмельницька обл. |
Кримінально-виконавчий ТОП-3
Лідером за обсягами видобутку в 2017-2020 рр.. є ДП “Підприємство ДКВСУ (№92)” – 15,3 тис. м3 (в гранітних блоках). На другому місці – ДП “Підприємство ДКВСУ (№93)” із результатом 9,8 тис. м3 (також гранітні блоки). Закриває трійку лідерів ДП “Підприємство ДКВСУ (№67)”, яке видобувало і виробляло вапняковий камінь стіновий (6,5 тис. м3), камінь нестандартний (785 м3), вапнякову муку (4,7 тис. тонн).
Три решти ДП не активні: №73 і №98 не здійснювали видобування, а №83 тільки у 2019 р. видобуло 37,2 м3 гранітних блоків.
Детальніше дивіться в таблиці:
Працівники, майно і гроші
За результатами 9 місяців 2021 р. тільки одне ДП (№92) показало позитивний фінансовий результат. Два (№83 і №93) спрацювали в “0”. Три інші (№67, №73, №98) показали відʼємний фінрезультат.
Щодо чисельності співробітників, то в 2021 році в 6 ДП працювали 54 працівники. Найбільше працівників було в ДП №92, №98, №93. Середня зарплатня протягом 9 міс. 2021 р. складала 8,6 тис. грн на місяць.
Детальніше дивіться в таблиці:
Земельні ділянки обліковуються на балансі тільки трьох підприємств:
- ДП “Підприємство ДКВСУ (№67)” – 8 ділянок площею 16,8 га
- ДП “Підприємство ДКВСУ (№83)” – 3 ділянки площею майже 119 га
- ДП “Підприємство ДКВСУ (№93)” – 3 ділянки площею 198 га.
Детальні дані із кадастровими номерами ділянок дивіться в таблиці:
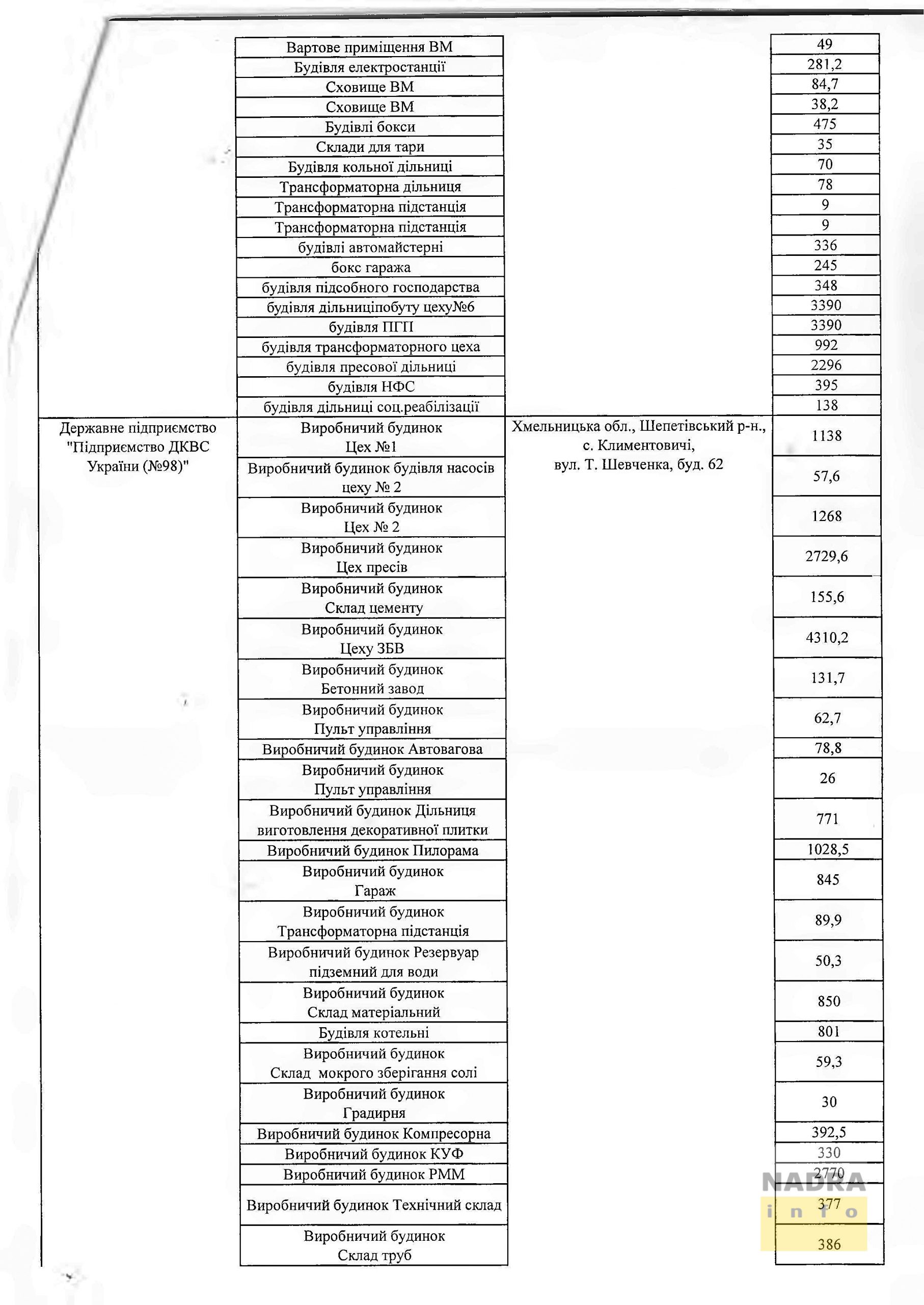
Також в Департаменті з питань виконання кримінальних покарань любʼязно надали дані щодо нерухомого майна, яке перебуває на балансі всіх ДП. Детальніше дивіться в таблиці:
Перелік добувного і переробного обладнання:
Коли чекати на приватизацію?
У 2021 р. Міністерство юстиції вперше в історії України організувало приватизацію вʼязниць. В червні було успішно продано майно Львівської виправної колонії №48. На жовтень-листопад планувалися ще 4 аукціони. Відтак, ми запитали: “Якщо Міністерство юстиції України планує приватизацію підприємств- надрокористувачів, скажіть, коли саме планується роздержавлення таких підприємств, і за якою процедурою? Це буде продаж майна – чи планується корпоратизація державних підприємств, і їх продаж разом зі спецдозволами на користування надрами?”
Відповідь на ці запитання була найбільш загальною – в Департаменті з питань виконання кримінальних покарань просто нагадали загальні норми, які визначають порядок приватизації державних підприємств:
Читайте також: Новий директор, позов ДКЗ, 200 мільйонів для підрядників: що коїться в ДП “Бурштин України”?
Читайте також: Роман Кац: “На одному родовищі ліворуч – вапняк державного значення, а за 500 метрів праворуч – місцевого. На що це схоже?!”
Читайте також: Піщаний поворот. Що буде з річковими родовищами піску в Києві і поблизу – після гучної заяви Служби?
Читайте також: Мостобудівна компанія купить спірне родовище граніту за півціни
Читайте також: SMART GRANIT збільшив видобуток і переробку гранітів на 67%
Зображення новини асоціативне















